【药物名称】KW-2170
化学结构式(Chemical Structure):
参考文献No.17843
标题:Pyrazoloacridone derivs.
作者:Mimura, Y.; Shida, Y.; Kasai, M.; Ashizawa, T.; Gomi, K. (Kyowa Hakko Kogyo Co., Ltd.)
来源:EP 0487097; JP 1993001064; US 5220026
合成路线图解说明:

Copper-catalyzed arylation of 3-methyl-6-nitroindazole (I) with 2-bromo-6-methoxybenzoic acid (II) furnished (III). Subsequent reduction of the nitro group of (III) to (IV) was effected by transfer hydrogenation with hydrazine hydrate in the presence of Pd/C. Intramolecular cyclization of carboxylic acid (IV) in hot PPA gave rise to the pyrazoloacridine system (V). The amino group of (V) was then converted to the bromide (VI) using a Sandmeyer reaction (1). Methyl ether cleavage in (VI) with HBr in hot AcOH provided phenol (VII), which was brominated with elemental bromine at low temperature to give (VIII). A formyl group was subsequently introduced in (VIII) by treatment with dichloromethyl methyl ether and TiCl4, yielding (IX). Oxidative cleavage of aldehyde (IX) under Baeyer-Villiger rearrangement conditions furnished the diphenol compound (X). Selective acetylation of one hydroxyl group of (X) affording (XI), followed by methylation of the remaining hydroxyl afforded (XII). Benzylic bromination of the side-chain methyl group of (XII) with NBS gave the bromomethyl derivative (XIII)

合成路线图解说明:

Displacement of the benzylic bromide (XIII) with concomitant hydrolysis of the phenolic acetate with ethanolamine (XIV) gave amine (XV). A further aromatic bromide of (XV) was displaced with hot 1,3-propanediamine (XVI), yielding adduct (XVII). Hydrogenolysis of the remaining bromide of (XVII) using Pd/C furnished (XVIII). Finally, methyl ether cleavage in (XVIII) with hot HCl provided the title compound

参考文献No.679730
标题:An efficient synthesis of a new class of DNA intercalating antitumor 7,10-dihydroxy-6H-pyrazolo[4,5,1-de]acridin-6-ones
作者:Mimura, T.; Kato, N.; Sugaya, T.; Ikuta, M.; Kato, S.; Kuge, Y.; Tomioka, S.; Kasai, M.
来源:Synthesis (Stuttgart) 1999,(6),947
合成路线图解说明:

Copper-catalyzed arylation of 3-methyl-6-nitroindazole (I) with 2-bromo-6-methoxybenzoic acid (II) furnished (III). Subsequent reduction of the nitro group of (III) to (IV) was effected by transfer hydrogenation with hydrazine hydrate in the presence of Pd/C. Intramolecular cyclization of carboxylic acid (IV) in hot PPA gave rise to the pyrazoloacridine system (V). The amino group of (V) was then converted to the bromide (VI) using a Sandmeyer reaction (1). Methyl ether cleavage in (VI) with HBr in hot AcOH provided phenol (VII), which was brominated with elemental bromine at low temperature to give (VIII). A formyl group was subsequently introduced in (VIII) by treatment with dichloromethyl methyl ether and TiCl4, yielding (IX). Oxidative cleavage of aldehyde (IX) under Baeyer-Villiger rearrangement conditions furnished the diphenol compound (X). Selective acetylation of one hydroxyl group of (X) affording (XI), followed by methylation of the remaining hydroxyl afforded (XII). Benzylic bromination of the side-chain methyl group of (XII) with NBS gave the bromomethyl derivative (XIII)

合成路线图解说明:

Displacement of the benzylic bromide (XIII) with concomitant hydrolysis of the phenolic acetate with ethanolamine (XIV) gave amine (XV). A further aromatic bromide of (XV) was displaced with hot 1,3-propanediamine (XVI), yielding adduct (XVII). Hydrogenolysis of the remaining bromide of (XVII) using Pd/C furnished (XVIII). Finally, methyl ether cleavage in (XVIII) with hot HCl provided the title compound

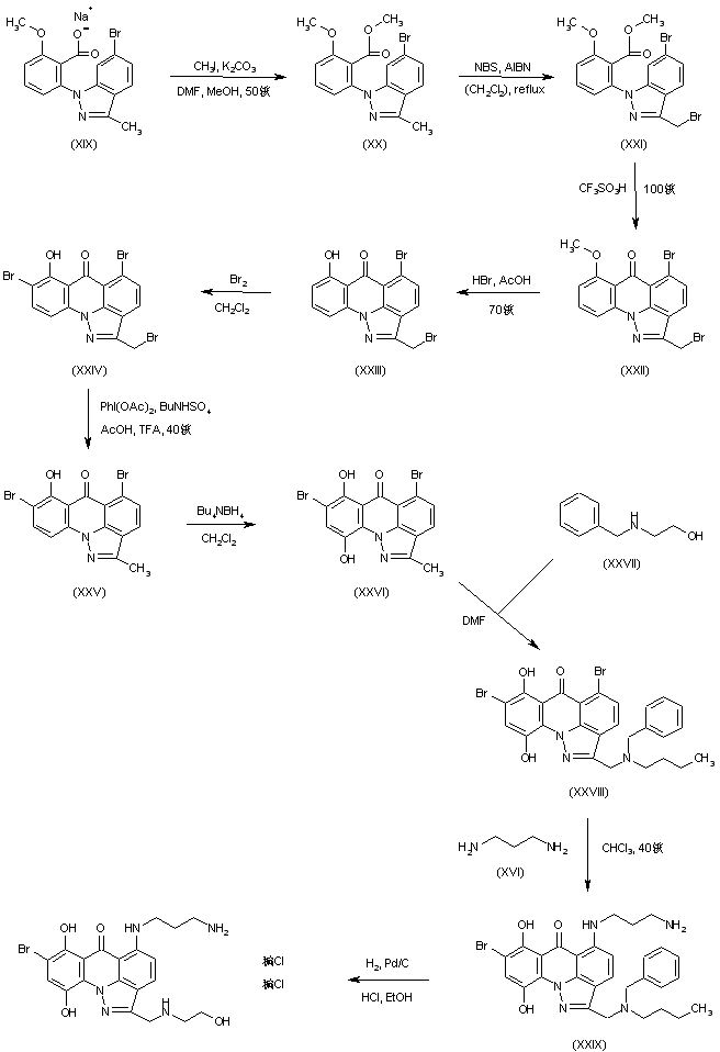
合成路线图解说明:

An improved synthesis of the title compound has been developed. Methyl ester (XX) was prepared from the known indazolylbenzoate sodium salt (XIX) by alkylation with iodomethane and K2CO3. Benzylic bromination of (XX) using NBS in the presence of AIBN as the radical initiator furnished the bromomethyl derivative (XXI). The brominated ester (XXI) was cyclized with trifluoromethanesulfonic acid at 100 C to provide the pyrazoloacridone (XXII) along with some phenol analogue (XXIII). Complete cleavage of the methyl ether of (XXII) was then accomplished with HBr in AcOH at 70 C. Further bromination of (XXIII) with elemental bromine in dichloroethane gave the ortho-bromophenol (XXIV). Introduction of the hydroxy group at C-10 was carried out by a two step sequence involving oxidation of (XXIV) to quinone (XXV) with (diacetoxy)iodobenzene, followed by its reduction to the corresponding hydroquinone (XXVI) with tetrabutylammonium triacetoxyborohydride. Condensation of (XXVI) with N-benzylethanolamine (XXVII) yielded the tertiary amine (XXVIII). Further bromine displacement in (XXVIII) with 1,3-propanediamine (XVI) provided (XXIX). The remaining bromine and the N-benzyl protecting groups of (XXIX) were finally subjected to hydrogenolysis in the presence of Pd/C

Drug Information Express,Drug R&D,Chemical Database,Patent Search.
Copyright © 2006-2026 Drug Future. All rights reserved.Contact Us