【药物名称】Michellamine B, NSC-661755, NSC-649324
化学结构式(Chemical Structure):
参考文献No.549550
标题:Total synthesis of michellamines A-C, korupensamines A-D, and ancistrobrevine B
作者:Hoye, T.R.; et al.
来源:J Org Chem 1999,64(19),7184
合成路线图解说明:

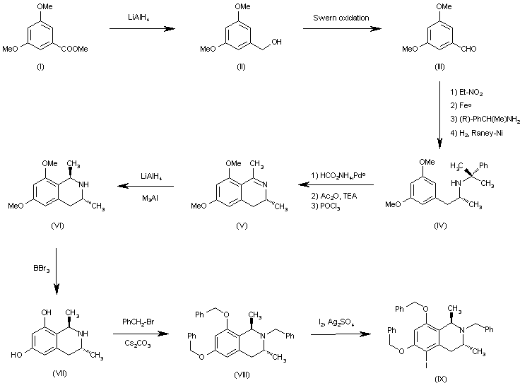
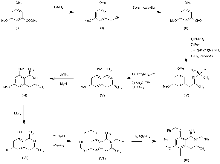
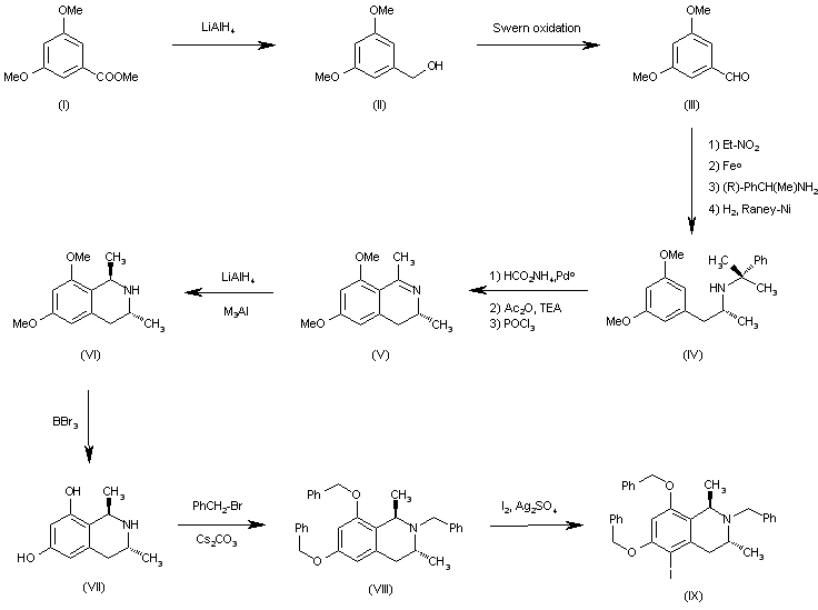
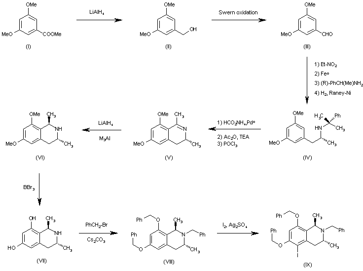
The isoquinoline intermediate (IX) has been synthesized as follows: The reduction of methyl 3,5-dimethoxybenzoate (I) with LiAlH4 gives the benzyl alcohol (II), which is treated with Swern oxidant to yield the benzaldehyde (III). The treatment of (III) with the sequence outlined in the scheme the chiral secondary amine is obtained. The cyclization of (IV) with ammonium formate catalyzed by Pd, followed by a treatment with acetic anhydride and POCl3 afforded the dihydroisoquinoline (V), which is reduced with LiAlH4 to the tetrahydro derivative (VI). Cleavage of the methoxy groups of (VI) with BBr3 affords the dihydroxycompound (VII), which is benzylated with benzyl bromide and Cs2CO3 providing the fully benzylated tetrahydroisoquinoline (VIII). Finally, this compound is iodinated with I2 and Ag2SO4 furnishing the desired isoquinoline intermediate (IX).

合成路线图解说明:

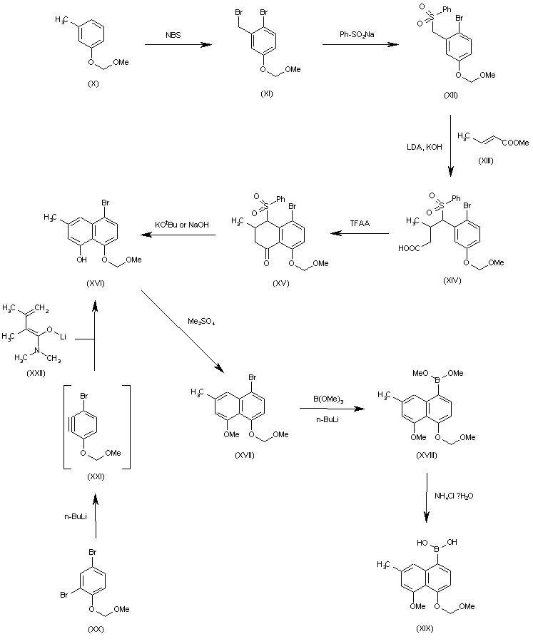
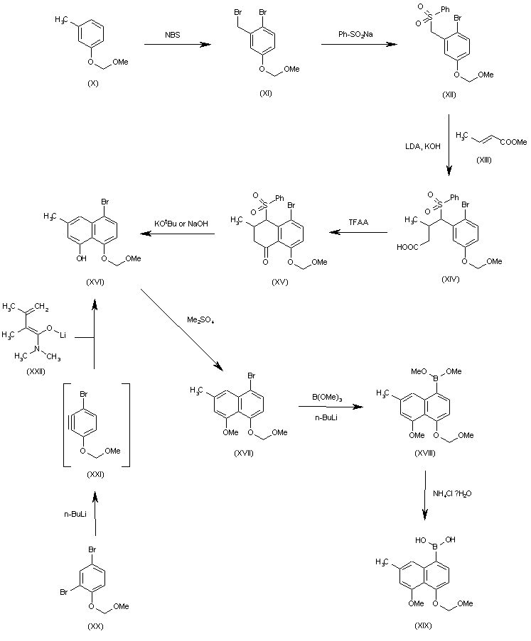
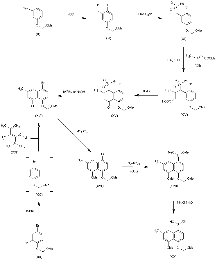
The intermediate naphthaleneboronic acid (XIX) has been obtained as follows: The bromination of the 3-methylphenyl methoxymethyl ether (X) with NBS gives the dibromo compound (XI), which is treated with sodium phenylsulfinate to afford the sulfone (XII). The condensation of (XII) with methyl crotonate (XIII) by means of LDA and KOH gives the butyric acid (XIV), which is cyclized to the tetralone (XV) by means of trifluoroacetic anhydride (TFAA). The aromatization of (XV) by means of t-BuOK or NaOH yields the 5-bromo-8-(methoxymethoxy)-3-methyl-1-naphthol (XVI), which is methylated with dimethyl sulfate to afford the methyl ether (XVII). The reaction of (XVII) with trimethyl borate and n-BuLi gives the boronic ester (XVIII), which is hydrolyzed with water and ammonium chloride yielding the desired naphthaleneboronic acid (XIX). Alternatively, the naphthaleneboronic acid (XIX) has been obtained as follows: The reaction of 2,4-dibromophenol methoxymethyl ether (XX) with n-BuLi and cyclohexyl(isopropyl)amine gives the benzyne intermediate (XXI), which, without isolation is cyclized with the lithium enolate of 3-methylcrotonic acid dimethylamide (XXII) to afford the previously described naphthol (XVI), which is purified by chromatography.

合成路线图解说明:

The condensation of the isoquinoline intermediate (IX) with the naphthaleneboronic acid intermediate (XIX) by means of palladium tetrakis(triphenylphosphine) and NaHCO3 in refluxing ethanol/toluene gives a 5:4 mixture of the (S) and (R) atropaisomers (XXIII), which, without separation, are treated with methanolic HCl to eliminate the methoxymethyl protecting groups and yield a mixture of (S) and (R) (XXIV). The dimerization of this mixture by means of silver oxide in dichloromethane affords a mixture of the (R,R), (R,S) and (S,S) dimers (XXV), which is deprotected with H2 over Pd/C in methanol/dichloromethane and submitted to HPLC to obtain the target (R,S) atropaisomer.

合成路线图解说明:

The isoquinoline intermediate (IX) has been synthesized as follows: The reduction of methyl 3,5-dimethoxybenzoate (I) with LiAlH4 gives the benzyl alcohol (II), which is treated with Swern oxidant to yield the benzaldehyde (III). The treatment of (III) with the sequence outlined in the scheme the chiral secondary amine is obtained. The cyclization of (IV) with ammonium formate catalyzed by Pd, followed by a treatment with acetic anhydride and POCl3 afforded the dihydroisoquinoline (V), which is reduced with LiAlH4 to the tetrahydro derivative (VI). Cleavage of the methoxy groups of (VI) with BBr3 affords the dihydroxycompound (VII), which is benzylated with benzyl bromide and Cs2CO3 providing the fully benzylated tetrahydroisoquinoline (VIII). Finally, this compound is iodinated with I2 and Ag2SO4 furnishing the desired isoquinoline intermediate (IX).

合成路线图解说明:

The intermediate naphthaleneboronic acid (XIX) has been obtained as follows: The bromination of the 3-methylphenyl methoxymethyl ether (X) with NBS gives the dibromo compound (XI), which is treated with sodium phenylsulfinate to afford the sulfone (XII). The condensation of (XII) with methyl crotonate (XIII) by means of LDA and KOH gives the butyric acid (XIV), which is cyclized to the tetralone (XV) by means of trifluoroacetic anhydride (TFAA). The aromatization of (XV) by means of t-BuOK or NaOH yields the 5-bromo-8-(methoxymethoxy)-3-methyl-1-naphthol (XVI), which is methylated with dimethylsulfate to afford the methyl ether (XVII). The reaction of (XVII) with trimethyl borate and n-BuLi gives the boronic ester (XVIII), which is hydrolyzed with water and ammonium chloride yielding the desired naphthaleneboronic acid (XIX). Alternatively, the naphthaleneboronic acid (XIX) has been obtained as follows: The reaction of 2,4-dibromophenol methoxymethyl ether (XX) with n-BuLi and cyclohexyl(isopropyl)amine gives the benzyne intermediate (XXI), which, without isolation is cyclized with the lithium enolate of 3-methylcrotonic acid dimethylamide (XXII) to afford the previously described naphthol (XVI), which is purified by chromatography.

合成路线图解说明:

The condensation of the isoquinoline intermediate (IX) with the naphthaleneboronic acid intermediate (XIX) by means of palladium tetrakis(triphenylphosphine) and NaHCO3 in refluxing ethanol/toluene gives a 5:4 mixture of the (S) and (R) atropaisomers (XXIII), which, without separation, are treated with methanolic HCl to eliminate the methoxymethyl protecting groups and yield a mixture of (S) and (R) (XXIV). The debenzylation of this mixture by means of H2 over Pd/C in methanol/dichloromethane affords a mixture of the target (S-biar) compound, along with its (R-biar)-atropaisomer that are separated by HPLC.

合成路线图解说明:

The isoquinoline intermediate (IX) has been synthesized as follows: The reduction of methyl 3,5-dimethoxybenzoate (I) with LiAlH4 gives the benzyl alcohol (II), which is treated with Swern oxidant to yield the benzaldehyde (III). The treatment of (III) with the sequence outlined in the scheme the chiral secondary amine is obtained. The cyclization of (IV) with ammonium formate catalyzed by Pd, followed by a treatment with acetic anhydride and POCl3 afforded the dihydroisoquinoline (V), which is reduced with LiAlH4 to the tetrahydro derivative (VI). Cleavage of the methoxy groups of (VI) with BBr3 affords the dihydroxycompound (VII), which is benzylated with benzyl bromide and Cs2CO3 providing the fully benzylated tetrahydroisoquinoline (VIII). Finally, this compound is iodinated with I2 and Ag2SO4 furnishing the desired isoquinoline intermediate (IX).

合成路线图解说明:

The intermediate naphthaleneboronic acid (XIX) has been obtained as follows: The bromination of the 3-methylphenyl methoxymethyl ether (X) with NBS gives the dibromo compound (XI), which is treated with sodium phenylsulfinate to afford the sulfone (XII). The condensation of (XII) with methyl crotonate (XIII) by means of LDA and KOH gives the butyric acid (XIV), which is cyclized to the tetralone (XV) by means of trifluoroacetic anhydride (TFAA). The aromatization of (XV) by means of t-BuOK or NaOH yields the 5-bromo-8-(methoxymethoxy)-3-methyl-1-naphthol (XVI), which is methylated with dimethylsulfate to afford the methyl ether (XVII). The reaction of (XVII) with trimethyl borate and n-BuLi gives the boronic ester (XVIII), which is hydrolyzed with water and ammonium chloride yielding the desired naphthaleneboronic acid (XIX). Alternatively, the naphthaleneboronic acid (XIX) has been obtained as follows: The reaction of 2,4-dibromophenol methoxymethyl ether (XX) with n-BuLi and cyclohexyl(isopropyl)amine gives the benzyne intermediate (XXI), which, without isolation is cyclized with the lithium enolate of 3-methylcrotonic acid dimethylamide (XXII) to afford the previously described naphthol (XVI), which is purified by chromatography.

合成路线图解说明:

The condensation of the isoquinoline intermediate (IX) with the naphthaleneboronic acid intermediate (XIX) by means of palladium tetrakis(triphenylphosphine) and NaHCO3 in refluxing ethanol/toluene gives a 5:4 mixture of the (S) and (R) atropaisomers (XXIII), which, without separation, are treated with methanolic HCl to eliminate the methoxymethyl protecting groups and yield a mixture of (S) and (R) (XXIV). The debenzylation of this mixture by means of H2 over Pd/C in methanol/dichloromethane affords a mixture of the target (R-biar) compound, along with its (S-biar)-atropaisomer that are separated by HPLC.

合成路线图解说明:

The isoquinoline intermediate (IX) has been synthesized as follows: The reduction of methyl 3,5-dimethoxybenzoate (I) with LiAlH4 gives the benzyl alcohol (II), which is treated with Swern oxidant to yield the benzaldehyde (III). The treatment of (III) with the sequence outlined in the scheme the chiral secondary amine is obtained. The cyclization of (IV) with ammonium formate catalyzed by Pd, followed by a treatment with acetic anhydride and POCl3 afforded the dihydroisoquinoline (V), which is reduced with LiAlH4 to the tetrahydro derivative (VI). Cleavage of the methoxy groups of (VI) with BBr3 affords the dihydroxycompound (VII), which is benzylated with benzyl bromide and Cs2CO3 providing the fully benzylated tetrahydroisoquinoline (VIII). Finally, this compound is iodinated with I2 and Ag2SO4 furnishing the desired isoquinoline intermediate (IX).

合成路线图解说明:

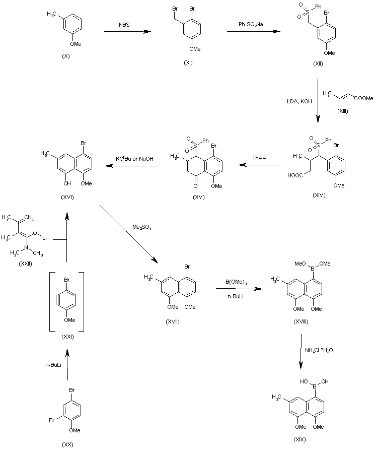
The intermediate naphthaleneboronic acid (XIX) has been obtained as follows: The bromination of the 3-methylanisole (X) with NBS gives the dibromo compound (XI), which is treated with sodium phenylsulfinate to afford the sulfone (XII). The condensation of (XII) with methyl crotonate (XIII) by means of LDA and KOH gives the butyric acid (XIV), which is cyclized to the tetralone (XV) by means of trifluoroacetic anhydride (TFAA). The aromatization of (XV) by means of t-BuOK or NaOH yields the 5-bromo-8-methoxy-3-methyl-1-naphthol (XVI), which is methylated with dimethyl sulfate to afford the bis(methyl) ether (XVII). The reaction of (XVII) with trimethyl borate and n-BuLi gives the boronic ester (XVIII), which is hydrolyzed with water and ammonium chloride yielding the desired naphthaleneboronic acid (XIX). Alternatively, the naphthaleneboronic acid (XIX) has been obtained as follows: The reaction of 2,4-dibromoanisole (XX) with n-BuLi and cyclohexyl(isopropyl)amine gives the benzyne intermediate (XXI), which, without isolation is cyclized with the lithium enolate of 3-methylcrotonic acid dimethylamide (XXII) to afford the previously described naphthol (XVI), which is purified by chromatography.

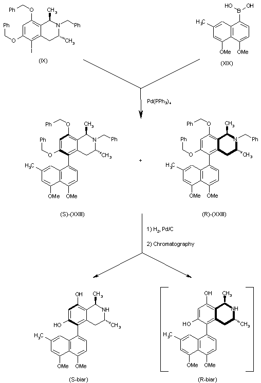
合成路线图解说明:

The condensation of the isoquinoline intermediate (IX) with the naphthaleneboronic acid intermediate (XIX) by means of palladium tetrakis(triphenylphosphine) and NaHCO3 in refluxing ethanol/toluene gives a 5:4 mixture of the (S) and (R) atropaisomers (XXIII), which, without separation, is submitted to debenzylation by means of H2 over Pd/C in methanol/dichloromethane affording a mixture of the target (S-biar) compound, along with its (R-biar)-atropaisomer that are separated by HPLC.

Drug Information Express,Drug R&D,Chemical Database,Patent Search.
Copyright © 2006-2026 Drug Future. All rights reserved.Contact Us