【药物名称】SNAP-5150
化学结构式(Chemical Structure):
参考文献No.468659
标题:Identification of a dihydropyridine as a potent alpha1a adrenoceptor-selective antagonist that inhibits phenylephrine-induced contraction of the human prostate
作者:Cox, E.D.; Diaz-Arauzo, H.; Huang, Q.; Reddy, M.S.; Ma, C.; Harris, B.D.; McKernan, R.; Skolnick, P.; Cook, J.M.
来源:J Med Chem 1998,41(14),2643
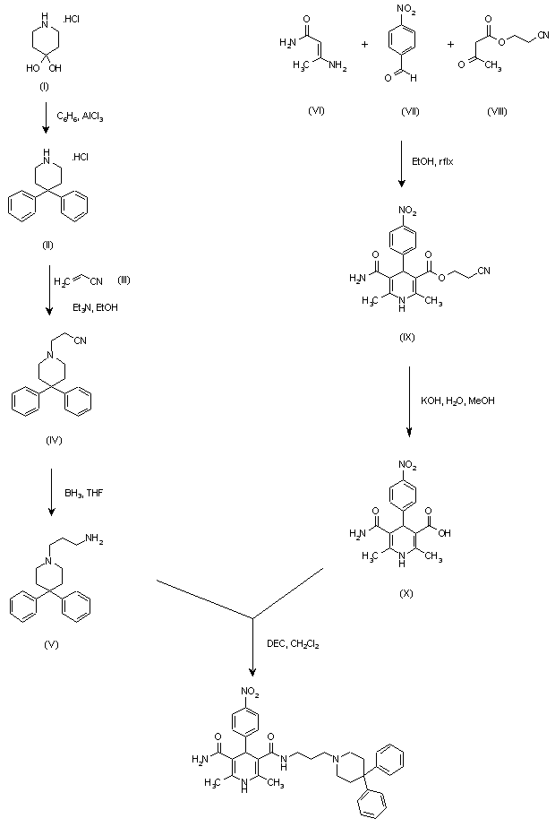
合成路线图解说明:

Treatment of a benzenic solution of 4-piperidone hydrate (I) with anhydrous AlCl3 provided 4,4-diphenylpiperidine (II). Then, conjugate addition of acrylonitrile (III) in the presence of triethylamine in ethanol gave the cyanoethylpiperidine (IV), which was reduced with borane in THF to afford the intermediate primary amine (V). Dihydropyridine (IX) was prepared by Hantzsch synthesis by condensation of 3-aminocrotonamide (VI), 4-nitrobenzaldehyde (VII) and cyanoethyl acetoacetate (VIII) in refluxing ethanol. Cyanoethyl ester was then cleaved with dilute KOH at 0 C to give acid (X), which was finally coupled with amine (V) by treatment with DEC to yield the target amide.

Drug Information Express,Drug R&D,Chemical Database,Patent Search.
Copyright © 2006-2026 Drug Future. All rights reserved.Contact Us