【药物名称】Liarozole fumarate, R-75251(monohydrochloride), R-85246, Liazal
化学结构式(Chemical Structure):
参考文献No.7908
标题:Novel (1H-imidazol-1-ylmethyl) substd. benzimidazole derivs
作者:Raeymaekers, A.H.M.; Freyne, E.J.E.; Sanz, G.C. (Janssen Pharmaceutica NV)
来源:AU 8778385; EP 0260744; JP 1989085975; US 4859684
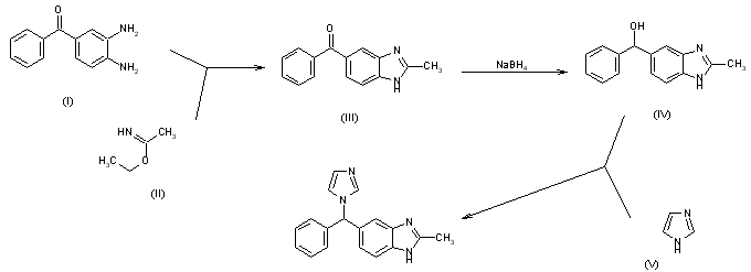
合成路线图解说明:

The cyclization of 3,4-diaminobenzophenone (I) with acetylimidic acid ethyl ester (II) in refluxing methanol gives 5-benzoyl-2-methylbenzimidazole (III), which is reduced with NaBH4 in methanol yielding 5-(alpha-hydroxybenzyl)-2-methylbenzimidazole (IV). Finally, this compound is condensed with imidazole (V) in refluxing acetonitrile.

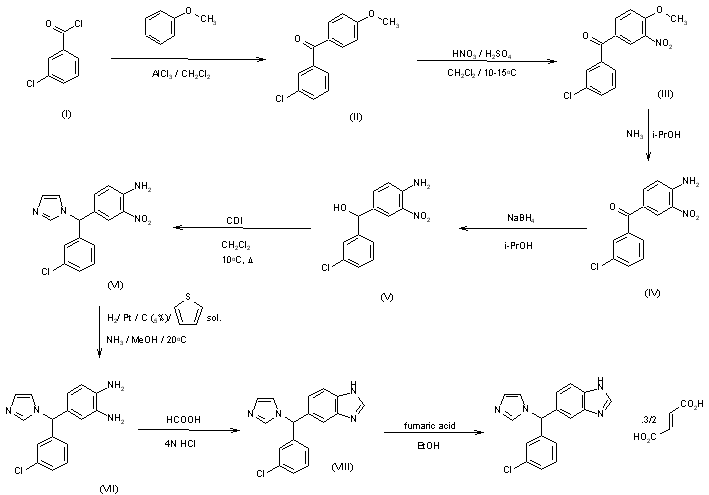
合成路线图解说明:

Liarozole fumarate is prepared as shown in Scheme 20970301a. Anisol is reacted with 3-chlorobenzoyl chloride (I) under Friedel-Craft conditions to give (3-chlorophenyl)(4-methoxyphenyl)methanone (II). Nitration of (II) is carried out in dichloromethane at 10 C to yield (III). The methoxy group in (III) is replaced by the amino group by means of NH3 in 2-propanol at 100 C under pressure, giving (IV). By reduction of the keto function of (IV) with sodium borohydride in 2-propanol, the corresponding alcohol (V) is obtained, which upon treatment with 1,1'-carbonyldiimidazole in refluxing dichloromethane yields the imidazolyl compound (VI). Hydrogenation of the nitro group in (VI), followed by cyclization of (VII) in a refluxing mixture of formic acid and 4N hydrochloric acid, gives the benzimidazole derivative (VIII). Finally, the treatment of (VIII) with fumaric acid in ethanol yields liarozole fumarate (IX).

参考文献No.254410
标题:Liarozole Fumarate
作者:Mahler, C.; De Coster, R.; Freyne, E.; Bruynseels, J.; Denis, L.; De Porre, P.; Verhelst, J.
来源:Drugs Fut 1994,19(6),552
合成路线图解说明:

Liarozole fumarate is prepared as shown in Scheme 20970301a. Anisol is reacted with 3-chlorobenzoyl chloride (I) under Friedel-Craft conditions to give (3-chlorophenyl)(4-methoxyphenyl)methanone (II). Nitration of (II) is carried out in dichloromethane at 10 C to yield (III). The methoxy group in (III) is replaced by the amino group by means of NH3 in 2-propanol at 100 C under pressure, giving (IV). By reduction of the keto function of (IV) with sodium borohydride in 2-propanol, the corresponding alcohol (V) is obtained, which upon treatment with 1,1'-carbonyldiimidazole in refluxing dichloromethane yields the imidazolyl compound (VI). Hydrogenation of the nitro group in (VI), followed by cyclization of (VII) in a refluxing mixture of formic acid and 4N hydrochloric acid, gives the benzimidazole derivative (VIII). Finally, the treatment of (VIII) with fumaric acid in ethanol yields liarozole fumarate (IX).

Drug Information Express,Drug R&D,Chemical Database,Patent Search.
Copyright © 2006-2026 Drug Future. All rights reserved.Contact Us