【药物名称】Tecastemizole, Norastemizole, Soltara
化学结构式(Chemical Structure):
参考文献No.61318
标题:Methods for synthesizing 2-substd. imidazoles
作者:Hong, Y.; Senanayake, C.H.; Bakale, R.P. (Sepracor Inc.)
来源:EP 0977740; JP 2001520658; US 5817823; WO 9846571
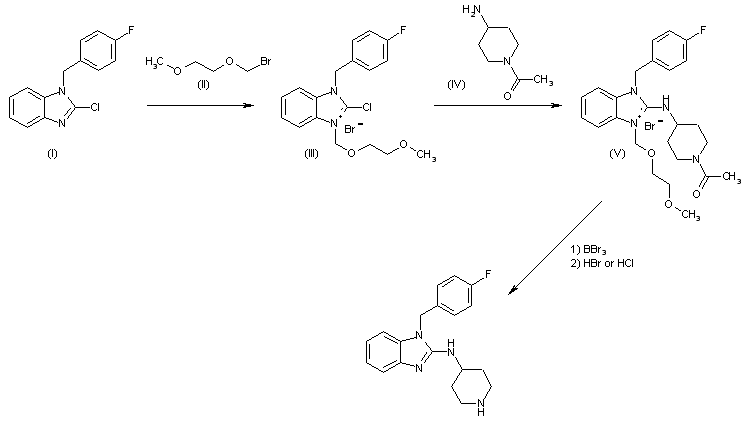
合成路线图解说明:

The condensation of 2-chloro-1-(4-fluorobenzyl)-1H-benzimidazole (I) with methoxymethyl bromide (II) in toluene gives the benzimidazolium bromide (III), which is condensed with 4-aminopiperidine-1-carboxylic acid ethyl ester (IV) in hot toluene to yield the adduct (V). Finally, this compound is treated first with BBr3 in dichloromethane and then with HBr or HCl at 110 C to provide the target Norastemizole.

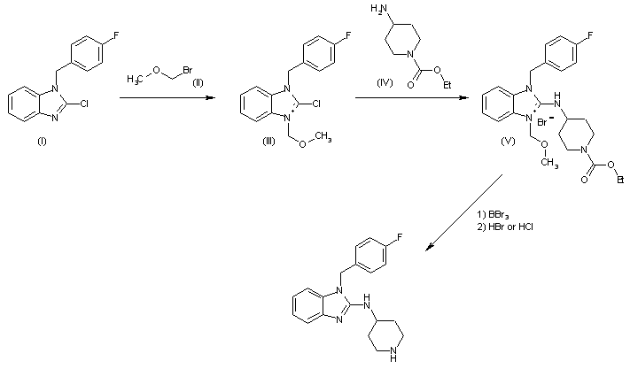
合成路线图解说明:

The condensation of 2-chloro-1-(4-fluorobenzyl)-1H-benzimidazole (I) with 2-methoxyethoxymethyl bromide (II) in toluene gives the benzimidazolium bromide (III), which is condensed with 1-acetyl-4-aminopiperidine (IV) in hot toluene to yield the adduct (V). Finally, this compound is treated first with BBr3 in dichloromethane and then with HBr or HCl at 110 C to provide the target Norastemizole.

参考文献No.468507
标题:Norastemizole
作者:Senanayake, C.; Hong, Y.; Bakale, R.; Handley, D.A.
来源:Drugs Fut 1998,23(9),966
合成路线图解说明:

Norastemizole can be obtained in the following way as shown in scheme: The synthesis is carried out by mild and selective palladium coupling of readily available 1-(4-fluorobenzyl)- 2-chlorobenzimidazole (I) with 4-aminopiperidine dihydrochloride (II) to obtain norastemizole in 84% isolated yield. The synthesis is highly selective and involves a one-step process.

参考文献No.469813
标题:Palladium catalyzed amination of 2-chloro-1,3-azole derivatives: Mild entry to potent H1-antihistaminic norastemizole
作者:Wald, S.A.; Hong, Y.; Wilkinson, H.S.; Senanayake, C.H.; Tanoury, G.J.; Bakale, R.P.
来源:Tetrahedron Lett 1997,385607-10
合成路线图解说明:

Norastemizole can be obtained in the following way as shown in scheme: The synthesis is carried out by mild and selective palladium coupling of readily available 1-(4-fluorobenzyl)- 2-chlorobenzimidazole (I) with 4-aminopiperidine dihydrochloride (II) to obtain norastemizole in 84% isolated yield. The synthesis is highly selective and involves a one-step process.

参考文献No.469814
标题:Remarkably Selective Palladium-Catalyzed Amination Process: Rapid Assembly of Multiamino Based Structures
作者:Xiang, T.; Hong, Y.; Wald, S.A.; Tanoury, T.; Senanayake, C.H.; Vandenbossche, C.P.; Bakale, R.P.
来源:Tetrahedron Lett 1998,393121-4
合成路线图解说明:

Norastemizole can be obtained in the following way as shown in scheme: The synthesis is carried out by mild and selective palladium coupling of readily available 1-(4-fluorobenzyl)- 2-chlorobenzimidazole (I) with 4-aminopiperidine dihydrochloride (II) to obtain norastemizole in 84% isolated yield. The synthesis is highly selective and involves a one-step process.

Drug Information Express,Drug R&D,Chemical Database,Patent Search.
Copyright © 2006-2026 Drug Future. All rights reserved.Contact Us