【药物名称】Almotriptan, PNU-180638, LAS-31416, Almogran, Axert
化学结构式(Chemical Structure):
参考文献No.22950
标题:Indol derivs. for the treatment of migraine
作者:Fernandez Forner, D.; Puig Duran, C.; Prieto Soto, J.; Vega Noverola, A.; Moragues Mauri, J. (Almirall Prodesfarma, SA)
来源:EP 0605697; JP 1994511261; US 5565447; WO 9402460
合成路线图解说明:

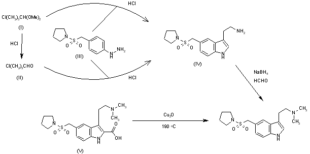
Almotriptan has been obtained by several related ways: 1) The hydrolysis of 4-chlorobutyraldehyde dimethylacetal (I) with HCl gives the corresponding aldehyde (II), which is condensed with 4-(1-pyrrolidinylsulfonylmethyl)phenylhydrazine (III) by means of HCl in methanol/water, giving 3-(2-aminoethyl)-5-(1-pyrrolidinylsulfonylmethyl)-1H-indole (IV). Finally, this compound is methylated with formaldehyde and NaBH4 in methanol. 2) The direct condensation of 4-chlorobutyraldehyde dimethylacetal (I) with 4-(1-pyrrolidinylsulfonylmethyl)phenylhydrazine (III) by means of HCl in water also yields intermediate 3-(2-aminoethyl)-5-(1-pyrrolidinylsulfonylmethyl)-1H-indole (IV). 3) The decarboxylation of 3-[2-(dimethylamino)ethyl]-5-(1-pyrrolidinylsulfonylmethyl)-1H-indole-2-carboxylic acid (V) catalyzed by means of Cu2O in quinoline at 190 C also gives almotriptan.

参考文献No.34147
标题:Process for the preparation of indole derivs.
作者:Fern醤dez Forner, M.D.; Puig Dur醤, C.; Crespo Crespo, M.I.; Moragues Mauri, J. (Almirall Prodesfarma, SA)
来源:ES 2084560
合成路线图解说明:

Almotriptan has been obtained by several related ways: 1) The hydrolysis of 4-chlorobutyraldehyde dimethylacetal (I) with HCl gives the corresponding aldehyde (II), which is condensed with 4-(1-pyrrolidinylsulfonylmethyl)phenylhydrazine (III) by means of HCl in methanol/water, giving 3-(2-aminoethyl)-5-(1-pyrrolidinylsulfonylmethyl)-1H-indole (IV). Finally, this compound is methylated with formaldehyde and NaBH4 in methanol. 2) The direct condensation of 4-chlorobutyraldehyde dimethylacetal (I) with 4-(1-pyrrolidinylsulfonylmethyl)phenylhydrazine (III) by means of HCl in water also yields intermediate 3-(2-aminoethyl)-5-(1-pyrrolidinylsulfonylmethyl)-1H-indole (IV). 3) The decarboxylation of 3-[2-(dimethylamino)ethyl]-5-(1-pyrrolidinylsulfonylmethyl)-1H-indole-2-carboxylic acid (V) catalyzed by means of Cu2O in quinoline at 190 C also gives almotriptan.

参考文献No.34148
标题:New indole derivs.
作者:Pujol Noguera, F.; Crespo Crespo, M.I.; Puig Dur醤, C.; Fern醤dez Forner, D.; Moragues Mauri, J. (Almirall Prodesfarma, SA)
来源:ES 2056025
合成路线图解说明:

Almotriptan has been obtained by several related ways: 1) The hydrolysis of 4-chlorobutyraldehyde dimethylacetal (I) with HCl gives the corresponding aldehyde (II), which is condensed with 4-(1-pyrrolidinylsulfonylmethyl)phenylhydrazine (III) by means of HCl in methanol/water, giving 3-(2-aminoethyl)-5-(1-pyrrolidinylsulfonylmethyl)-1H-indole (IV). Finally, this compound is methylated with formaldehyde and NaBH4 in methanol. 2) The direct condensation of 4-chlorobutyraldehyde dimethylacetal (I) with 4-(1-pyrrolidinylsulfonylmethyl)phenylhydrazine (III) by means of HCl in water also yields intermediate 3-(2-aminoethyl)-5-(1-pyrrolidinylsulfonylmethyl)-1H-indole (IV). 3) The decarboxylation of 3-[2-(dimethylamino)ethyl]-5-(1-pyrrolidinylsulfonylmethyl)-1H-indole-2-carboxylic acid (V) catalyzed by means of Cu2O in quinoline at 190 C also gives almotriptan.

参考文献No.530604
标题:New aniline derivatives as key intermediates in th
作者:Fernandez-Forner, D.
来源:Res Disclosure 1998,4121088
合成路线图解说明:

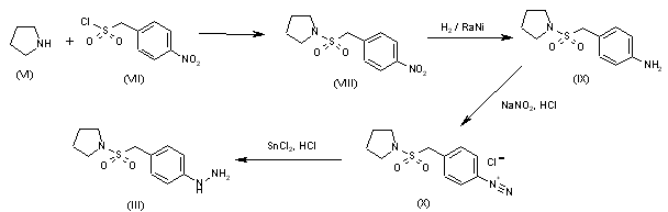
4) The intermediate 4-(1-pyrrolidinylsulfonylmethyl)phenylhydrazine (III) can be obtained as follows: The condensation of pyrrolidine (VI) with 1-(4-nitrobenzylsulfonyl)chloride (VII) in dichloromethane gives the expected sulfonamide (VIII), which is reduced with H2 over RaNi in DMF, yielding 4-(1-pyrrolidinylsulfonylmethyl)aniline (IX). The diazotation of (IX) with NaNO2/HCl affords the corresponding diazo compound (X), which is finally reduced to the target intermediate (III) with SnCl2/HCl.

Drug Information Express,Drug R&D,Chemical Database,Patent Search.
Copyright © 2006-2026 Drug Future. All rights reserved.Contact Us