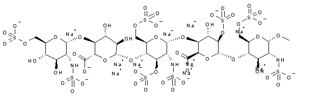
【药物名称】Fondaparinux sodium, Fondaparin sodium, SR-90107, Org-31540, SR-90107A, Quixidar, Arixtra
化学结构式(Chemical Structure):
参考文献No.604305
标题:Synthesis of heparin fragments: A methyl alpha-pentaoside with high affinity for antithrombin III
作者:Petitou, M.; Duchaussoy, P.; Lederman, I.; Choay, J.; Jacquinet, J.C.; Sinay, P.; Torri, G.
来源:Carbohydr Res 1987,16767
合成路线图解说明:

Selective 6-acetylation of methyl 3-O-benzyl-2-benzyloxycarbonylamino-2-deoxy-alpha-D-glucopyranoside (I) by means of N-acetylimidazole in refluxing dichloroethane furnishes monoacetate (II), which is then glycosylated with ortho ester (III) by means of pyridinium perchlorate in dichloroethane to provide disaccharide (IV). Dechloroacetylation of (IV) using hydrazinedithiocarbonate in MeOH/CH2Cl2 in the presence of 2,6-dimethylpyridine and HOAc yields disaccharide derivative (V), which is then converted into tetrasaccharide derivative (VII) by coupling with glycosyl bromide (VI) in dichloroethane in the presence of 2,4,6-trimethylpyridine and silver triflate as catalyst. The chloroacetyl group of (VII) is then removed as described above, giving compound (VIII). Alternatively, (VIII) can also be obtained from reaction of (V) and leuvilinyl-protected derivative (IX) to give (X), followed by removal of the leuvilinyl group.

合成路线图解说明:

Glycosylation of (VIII) with glycosyl bromide (XI) in dichloromethane in the presence of 2,4,6-trimethylpyridine and silver triflate as catalyst affords pentasaccharide derivative (XII), which is then subjected to saponification with NaOH to yield derivative (XIII). O-sulfatation of (XIII) using trimethylamine-sulfur trioxide in DMF, followed by elution of the resulting compound through an ion-exchange column of Dowex 50 (Na+) resin, furnishes pentasaccharide (XIV), which is finally converted into the desired compound by first hydrogenation over Pd/C in MeOH/H2O for simultaneous benzyl groups removal and azide groups reduction, followed by N-sulfatation in the conditions described above and final ion-exchange chromatography through a Dowex 50 (Na+) column.

参考文献No.759665
标题:Title Authors The unique antithrombin III binding domain of heparin: A lead to new synthetic antithrombotics
作者:van Boeckel, C.A.A.; Petitou, M.
来源:Angew Chem. Int Ed Engl 1993,32(12),1671
合成路线图解说明:

The condensation of the trisaccharide (I) with disaccharide (II) by means of Tms-OTf gives the pentasaccharide (III), which is hydrolyzed at the acetoxy and methoxycarbonyl groups by means of LiOOH to yield the polyhydroxylated pentasaccharide (IV). The reaction of (IV) with SO3 and TEA affords the pentasulfated pentasaccharide (V), which is submitted to cleavage of the benzyl protecting groups and reduction of the azide substituents by hydrogenation with H2 over Pd/C to provide the intermediate compound (VI). Finally, this compound is treated with SO3 and pyridine to furnish the target N-sulfated pentasaccharide.

Drug Information Express,Drug R&D,Chemical Database,Patent Search.
Copyright © 2006-2026 Drug Future. All rights reserved.Contact Us