【药物名称】737004, SB-737004, S-0139, 97-139
化学结构式(Chemical Structure):
参考文献No.563507
标题:Practical large-scala synthesis of endothelin receptor antagonist S-0139
作者:Konoike, T.; et al.
来源:Org Process Res Dev 1999,3(5),347
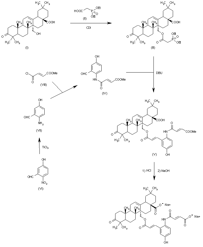
合成路线图解说明:

The esterification of myricerone (I) with 2-(diethoxyphosphoryl)acetic acid (II) by means of CDI gives the corresponding ester (III), which is condensed with the benzaldehyde (IV) by means of DBU and LiCl in DMF yielding the expected condensation product (V). Finally, this compound is hydrolyzed with LiOH in aqueous DME, and treated with aqueous NaOH to obtain the target sodium salt. The intermediate benzaldehyde (IV) has been obtained as follows: The reduction of 5-hydroxy-2-nitrobenzaldehyde (VI) with TiCl3 gives 2-amino-5-hydroxybenzaldehyde (VII), which is then condensed with maleic acid monomethyl ester monochloride (VIII).

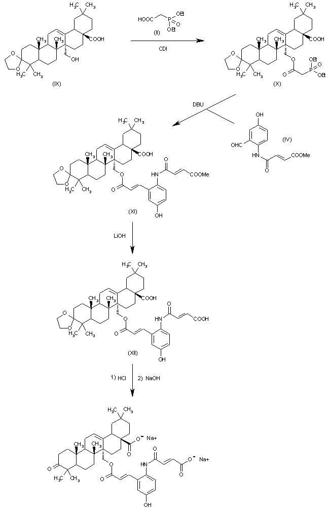
合成路线图解说明:

The esterification of myricerone ethyleneketal (IX) with 2-(diethoxyphosphoryl)acetic acid (II) by means of CDI gives the corresponding ester (X), which is condensed with the benzaldehyde (IV) by means of DBU and LiCl in DMF yielding the expected condensation product (XI). The hydrolysis of (XI) with LiOH in aqueous DME affords the free acid (XII), which is treated with HCl in THF/water to eliminate the ketal protecting group providing the target compound as free acid (XII). Finally, this compound is treated with aqueous NaOH to obtain the target sodium salt.

Drug Information Express,Drug R&D,Chemical Database,Patent Search.
Copyright © 2006-2026 Drug Future. All rights reserved.Contact Us