【药物名称】SM-10661(racemate), SM-12502
化学结构式(Chemical Structure):
参考文献No.284099
标题:SM-12502
作者:Koike, H.; Natsume, Y.; Tojo, S.; Morooka, S.
来源:Drugs Fut 1995,20(2),153
合成路线图解说明:

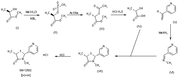
Methylation of methyl (+)-lactate (I) followed by thioacetylation and acidic hydrolysis affords (-)-thiolactic acid (IV). Reaction of 3-pyridinecarboxyaldehyde (V) with methylamine in toluene under the azeotropic condition provides the imine (VI), which when condensed with (IV) affords (+)-cis-3,5-dimethyl-2-(3-pyridyl)thiazolidin-4-one (VII). Treatment of (VII) with aqueous HCl/isopropanol results in the precipitation of SM-12502.

Drug Information Express,Drug R&D,Chemical Database,Patent Search.
Copyright © 2006-2026 Drug Future. All rights reserved.Contact Us