【药物名称】P-724
化学结构式(Chemical Structure):
参考文献No.22852
标题:Cpds. for inhibition of proteolysis
作者:Rando, R.R. (Harvard College)
来源:WO 9401126
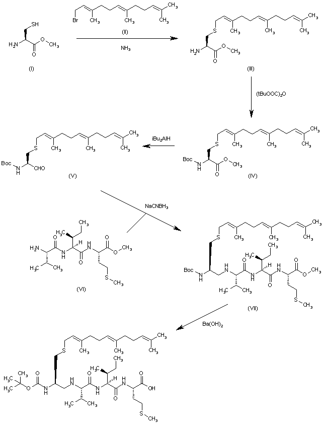
合成路线图解说明:

The reaction of L-cysteine methyl ester (I) with farnesyl bromide (II) by means of ammonia in methanol gives the S-derivative (III), which is Boc protected as usual yielding the protected cysteine (IV). The reduction of (IV) with diisobutylaluminum hydride in toluene affords the cysteine aldehyde (V), which is reductocondensed with the tripeptide L-valine-L-isoleucine-L-methionine methyl ester (VI) by means of sodium cyanoborohydride in acidic methanol giving the peptide ester (VII). Finally, this compound is hydrolyzed with barium hydroxide in methanol/water.

Drug Information Express,Drug R&D,Chemical Database,Patent Search.
Copyright © 2006-2026 Drug Future. All rights reserved.Contact Us