【药物名称】Meluadrine tartrate, Tulobuterol-(R), (R)-Tulobuterol, HSR-81(R)
化学结构式(Chemical Structure):
参考文献No.14499
标题:Optically active benzyl alcohol cpd. and the use thereof
作者:Ito, Y.; Kato, H.; Koshinaka, E.; Kurata, S.; Morikawa, K. (Abbott Japan)
来源:EP 0420120; JP 1992178356
合成路线图解说明:

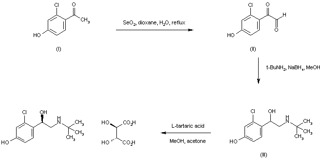
Oxidation of 2-chloro-5-hydroxyacetophenone (I) with selenium dioxide gave the phenylglyoxal derivative (II). This was subjected to reductive amination with tert-butylamine in the presence of NaBH4 to afford the racemic amino alcohol (III). After conversion of amino alcohol (III) to the L-tartrate salt, several recrystallizations from methanol-acetone provided the pure (R) enantiomer

参考文献No.56915
标题:Hydroxyl-substd. 2-chloro-alpha-(tert-butylaminomethyl)-benzylalcohols
作者:Yamamoto, Y.; Kato, H.; Kurata, S.; Nishide, K. (Abbott Japan)
来源:US 4018818
合成路线图解说明:

Oxidation of 2-chloro-5-hydroxyacetophenone (I) with selenium dioxide gave the phenylglyoxal derivative (II). This was subjected to reductive amination with tert-butylamine in the presence of NaBH4 to afford the racemic amino alcohol (III). After conversion of amino alcohol (III) to the L-tartrate salt, several recrystallizations from methanol-acetone provided the pure (R) enantiomer

Drug Information Express,Drug R&D,Chemical Database,Patent Search.
Copyright © 2006-2026 Drug Future. All rights reserved.Contact Us