【药物名称】Trimetrexate glucuronate, NSC-352122, NeuTrexin
化学结构式(Chemical Structure):
参考文献No.46970
标题:Quinazoline compounds and processes for their production
作者:Elslager, E.F.; Werbel, L.M. (Pfizer Inc.)
来源:GB 1345502
合成路线图解说明:

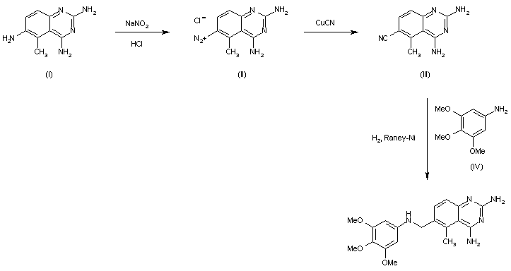
The reaction of 2,4,6-triamino-5-methylquinazoline (I) with NaNO2 and aqueous HCl gives the corresponding diazonium salt (II), which by a Sandmeyer reaction with cuprous cyanide in hot water yields 2,4-diamino-5-methylquinazoline-6-carbonitrile (III). Finally, this compound is reductocondensed with 3,4,5-trimethoxyaniline (IV) by means of H2 over Raney-Ni in acetic acid.

参考文献No.65689
标题:JB-11
作者:Hillier, K.; Casta馿r, J.; Serradell, M.N.; Blancafort, P.
来源:Drugs Fut 1981,6(5),282
合成路线图解说明:

The reaction of 2,4,6-triamino-5-methylquinazoline (I) with NaNO2 and aqueous HCl gives the corresponding diazonium salt (II), which by a Sandmeyer reaction with cuprous cyanide in hot water yields 2,4-diamino-5-methylquinazoline-6-carbonitrile (III). Finally, this compound is reductocondensed with 3,4,5-trimethoxyaniline (IV) by means of H2 over Raney-Ni in acetic acid.

Drug Information Express,Drug R&D,Chemical Database,Patent Search.
Copyright © 2006-2026 Drug Future. All rights reserved.Contact Us