【药物名称】SU-740(non-complexed), SU-840
化学结构式(Chemical Structure):
参考文献No.14248
标题:Chalcone derivs
作者:Yokomori, S.; Saijo, K.; Matsunaga, T.; Nakashima, Y.; Hatayama, K. (Taisho Pharmaceutical Co., Ltd.)
来源:EP 0412803; JP 1991163042
合成路线图解说明:

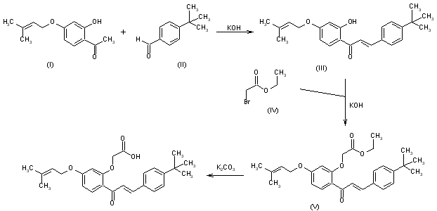
The synthesis of free compound is performed as follows: The condensation of 2-hydroxy-4-(3-methyl-2-butenyloxy)acetophenone (I) with 4-tert-butylbenzaldehyde (II) by means of KOH in hot ethanol gives 3-(4-tert-butylphenyl)-1-[4-hydroxy-4-(3-methyl-2-butenyloxy)phenyl]-2(E)-propen-1-one (III), which is condensed with ethyl bromoacetate (IV) by means of KOH in acetone to afford (E)-2-[2-(4-tert-butylcinnamoyl)-4-(3-methyl-2-butenyloxy)phenoxy] acetic acid ethyl ester (V). Finally, this compound is hydrolyzed with KOH in hot ethanol-water.

参考文献No.24233
标题:Antiulcerative agents
作者:Yokomori, S.; Saijo, K.; Hatayama, M. (Taisho Pharmaceutical Co., Ltd.)
来源:JP 1993058885
合成路线图解说明:

The synthesis of free compound is performed as follows: The condensation of 2-hydroxy-4-(3-methyl-2-butenyloxy)acetophenone (I) with 4-tert-butylbenzaldehyde (II) by means of KOH in hot ethanol gives 3-(4-tert-butylphenyl)-1-[4-hydroxy-4-(3-methyl-2-butenyloxy)phenyl]-2(E)-propen-1-one (III), which is condensed with ethyl bromoacetate (IV) by means of KOH in acetone to afford (E)-2-[2-(4-tert-butylcinnamoyl)-4-(3-methyl-2-butenyloxy)phenoxy] acetic acid ethyl ester (V). Finally, this compound is hydrolyzed with KOH in hot ethanol-water.

参考文献No.268201
标题:SU-840
作者:Rabasseda, X.; Casta馿r, J.; Mealy, N.
来源:Drugs Fut 1994,19(10),923
合成路线图解说明:

The synthesis of free compound is performed as follows: The condensation of 2-hydroxy-4-(3-methyl-2-butenyloxy)acetophenone (I) with 4-tert-butylbenzaldehyde (II) by means of KOH in hot ethanol gives 3-(4-tert-butylphenyl)-1-[4-hydroxy-4-(3-methyl-2-butenyloxy)phenyl]-2(E)-propen-1-one (III), which is condensed with ethyl bromoacetate (IV) by means of KOH in acetone to afford (E)-2-[2-(4-tert-butylcinnamoyl)-4-(3-methyl-2-butenyloxy)phenoxy] acetic acid ethyl ester (V). Finally, this compound is hydrolyzed with KOH in hot ethanol-water.

Drug Information Express,Drug R&D,Chemical Database,Patent Search.
Copyright © 2006-2026 Drug Future. All rights reserved.Contact Us