【药物名称】Tecalcet hydrochloride, NPS-568R, KRN-568, R-568, NPS-R-568, Norcalcin
化学结构式(Chemical Structure):
参考文献No.55745
标题:Method of making a benzylpropanamine
作者:D'Ambra, T.E.; Vanwagenen, B.C.; Duff, S.R.; Nelson, W.A. (NPS Pharmaceuticals, Inc.)
来源:WO 9602492
合成路线图解说明:

The required (R)-3-methoxy-alpha-methylbenzylamine (III) was prepared from 3?methoxyacetophenone (I) via Leuckart reaction, upon heating at 180 C with ammonium formate. The resultant formamide (II) was hydrolyzed with concentrated HCl to the racemic amine, which was then resolved using (R)-mandelic acid.

合成路线图解说明:

The title compound was prepared by one-pot reductive alkylation of the chiral amine (III) with 3-(2-chlorophenyl)propionitrile (XI). Reduction of nitrile (XI) by means of DIBAL at -78 C produced the intermediate diisobutylaluminium-imine complex (XII) which, after addition of (R)-3-methoxy-alpha-methylbenzylamine (III), generated imine (XIII). Subsequent reduction of imine (XIII) with NaBH4 afforded the target amine.

合成路线图解说明:

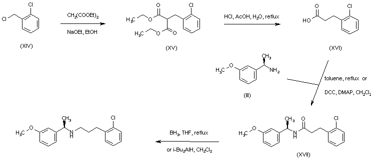
In an alternative procedure, alkylation of diethyl malonate with 2-chlorobenzyl chloride (XIV) afforded malonate (XV), which underwent hydrolysis and further decarboxylation to the arylpropionic acid (XVI) upon refluxing with HCl and HOAc. Coupling of acid (XVI) with the chiral amine (III) to give amide (XVII) was performed in refluxing toluene with azeotropic removal of water or, alternatively, by using DCC as the coupling reagent. Amide (XVII) was finally reduced to the corresponding amine by means of borane in tetrahydrofuran or with DIBAL in CH2Cl2.

参考文献No.55746
标题:Chiral reductions of imines leading to the syntheses of optically active amines
作者:Van Wagenen, B.C.; Barmore, R.M. (NPS Pharmaceuticals, Inc.)
来源:WO 9711934
合成路线图解说明:

The dehydrogenation of 16alpha-methyl-11beta,17alpha,21-trihydroxypregna-1,4-diene-3,20-dione-21-acetate (I) with dichlorodicyanobenzoquinone (II) in dioxane HCl gives 16alpha-methyl-11beta,17alpha,21-trihydroxypregna-1,4,6-triene-3,20-dione-21-acetate (III), which is hydrolyzed with aqueous NaHCO3 to the corresponding free triol (IV). The reaction of (IV) with triethyl orthopropionate (A) by means of p-toluenesulfonic acid in DMSO yields 16alpha-methyl-11beta,17alpha,21-trihydroxypregna-1,4,6-triene-3,20-dione-17,21-ethylorthopropionate (V), which is hydrolyzed partially with acetic acid to 16alpha-methyl-11beta,17alpha,21-trihydroxypregna-1,4,6-triene-3,20-dione-17-propionate (VI). The acylation of (VI) with propionic anhydride affords 16alpha-methyl-11beta,17alpha,21-trihydroxypregna-1,4,6-triene-3,20-dione-17,21-dipropionate (VII), which is finally treated with dry HCl in dioxane.

合成路线图解说明:

The dehydrogenation of 16alpha-methyl-17alpha,21-dihydroxypregna-1,4-diene-3,11,20-trione-21-acetate (VIII) with (II) in dioxane-HCl gives 16alpha-methyl-17alpha,21-dihydroxypregna-1,4,6-triene-3,11,20-trione-21-acetate (IX), which is hydrolyzed with aqueous NaHCO3 to the corresponding free diol (X). The reaction of (X) with triethyl orthopropionate (A) as before yields 16alpha-methyl-17alpha,21-dihydroxypregna-1,4,6-triene-3,11,20-trione-17,21-ethylorthopropionate (XI), which is hydrolyzed partially with acetic acid to 16alpha-methyl-17alpha,21-dihydroxypregna-1,4,6-triene-3,11,20-trione-17-propionate (XII). The acylation of (XII) with propionic anhydride yields the corresponding dipropionate (XIII), which is treated with dry HCl in dioxane to afford 16alpha-methyl-17alpha,21-dihydroxy-7alpha-chloropregna-1,4-diene-3,11,20-trione 17,21-dipropionate (XIV). Finally, this compound is reduced with NaSH4 in methanol - THF.

合成路线图解说明:

In a different method, the primary amine (XVIII) was prepared by reduction of nitrile (XI) with either borane-dimethyl sulfide complex or with LiAlH4. Condensation of amine (XVIII) with acetophenone (I) generated imine (XIX). The asymmetric reduction of (XIX) to furnish the title (R)-amine was accomplished by using LiAlH4 in the presence of several chiral auxiliaries, such as 1,1?binaphthol, (-)-N-methylephedrine, or (-)-N-methylpseudoephedrine, with different degrees of enantioselectivity. Alternatively, imine (XIX) was reduced utilizing a titanium-catalyzed asymmetric hydrosilylation method.

参考文献No.486108
标题:The addition of amines to diisobutylaluminum-imine complexes. Preparation of NPS R-568 hydrochloride
作者:Barmore, R.M.; et al.
来源:Tetrahedron Lett 1998,39(21),3451
合成路线图解说明:

The title compound was prepared by one-pot reductive alkylation of the chiral amine (III) with 3-(2-chlorophenyl)propionitrile (XI). Reduction of nitrile (XI) by means of DIBAL at -78 C produced the intermediate diisobutylaluminium-imine complex (XII) which, after addition of (R)-3-methoxy-alpha-methylbenzylamine (III), generated imine (XIII). Subsequent reduction of imine (XIII) with NaBH4 afforded the target amine.

参考文献No.629729
标题:Nucleophilic addition of methyllithium to chiral oxime ethers: Asymmetric preparation of 1-(aryl)ethylamines and application to a synthesis of calcimimetics (+)-NPS R-568 and its thio analogue
作者:Yamazaki, N.; et al.
来源:Tetrahedron Lett 2001,42(30),5029
合成路线图解说明:

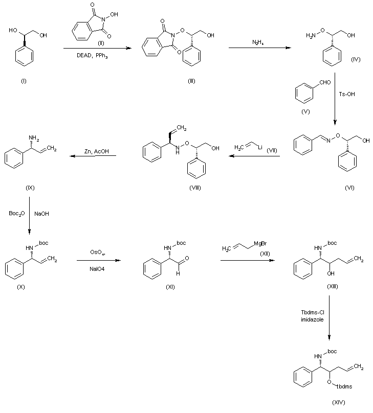
The reaction of 1(R)-phenylethane-1,2-diol (I) with N-hydroxyphthalimide (II) by means of DEAD and PPh3 gives the N-alcoxyphthalimide (III) with(S)-configuration. The hydrazinolysis of (III) with hydrazine hydrate affords the O-alkylhydroxylamine (IV), which is condensed with benzaldehyde (V) to provide the alkylated benzaldoxime (VI). The alkylation of the oxime (VI) with vinyl lithium (VII) in toluene gives the N, O dialkylated hydroxylamine (VIII), which is treated with Zn and AcOH to yield 1(R)-phenylallylamine (IX). The protection of the amine (IX) with Boc2O and NaOH affords the carbamate (X), which is oxidized at the vinyl double bond by means of OsO4 and NaIO4 to provide the acetaldehyde (XI). The reaction of aldehyde (XI) with allylmagnesium bromide (XII) in ethyl ether gives the aminoalcohol (XIII), which is protected with Tbdms-Cl and imidazole to yield the silyl ether (XIV).

合成路线图解说明:

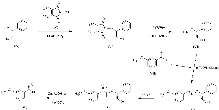
A new procedure for the asymmetric synthesis of amine (III) was reported. Mitsunobu coupling of N-hydroxyphthalimide (V) with the chiral auxiliary (R)-phenylglycol (IV) yielded the (S)-alkoxyphthalimide (VI). Hydrazinolysis of (VI) provided the free alkoxyamine (VII), which was condensed with 3-methoxybenzaldehyde (VIII) to afford oxime (IX). Diastereoselective addition of methyllithium to the oxime ether (IX) led to the methyl adduct (X) as the major isomer. Then, reductive N-O bond cleavage to furnish amine (III) was carried out by using zinc-acetic acid or, with an improved yield, using molybdenum hexacarbonyl.

合成路线图解说明:

In an alternative procedure, alkylation of diethyl malonate with 2-chlorobenzyl chloride (XIV) afforded malonate (XV), which underwent hydrolysis and further decarboxylation to the arylpropionic acid (XVI) upon refluxing with HCl and HOAc. Coupling of acid (XVI) with the chiral amine (III) to give amide (XVII) was performed in refluxing toluene with azeotropic removal of water or, alternatively, by using DCC as the coupling reagent. Amide (XVII) was finally reduced to the corresponding amine by means of borane in tetrahydrofuran or with DIBAL in CH2Cl2.

参考文献No.679734
标题:Synthesis of NPS R-568 utilizing titanium-catalyzed asymmetric hydrosilylation
作者:Buchwald, S.L.; Hansen, M.C.
来源:Tetrahedron Lett 1999,40(11),2033
合成路线图解说明:

In a different method, the primary amine (XVIII) was prepared by reduction of nitrile (XI) with either borane-dimethyl sulfide complex or with LiAlH4. Condensation of amine (XVIII) with acetophenone (I) generated imine (XIX). The asymmetric reduction of (XIX) to furnish the title (R)-amine was accomplished by using LiAlH4 in the presence of several chiral auxiliaries, such as 1,1?binaphthol, (-)-N-methylephedrine, or (-)-N-methylpseudoephedrine, with different degrees of enantioselectivity. Alternatively, imine (XIX) was reduced utilizing a titanium-catalyzed asymmetric hydrosilylation method.

Drug Information Express,Drug R&D,Chemical Database,Patent Search.
Copyright © 2006-2026 Drug Future. All rights reserved.Contact Us