【药物名称】Glycopin, GMDP, Licopid
化学结构式(Chemical Structure):
参考文献No.26946
标题:Compsn. for macrophage activation
作者:Vosika, G.J.; Cornelius, D.A.; Bennek, J.A.; Swenson, K.E.; Gilbert, C.W. (DOR BioPharma, Inc.)
来源:US 5416070; WO 9116347
合成路线图解说明:

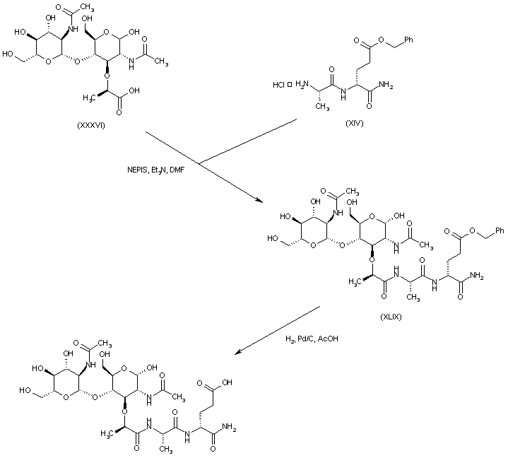
The disaccharide derivative (XXXVI) was isolated from the enzymatic hydrolysis of the cell walls obtained from cultures of Micrococcus lysodeikticus. Condensation of (XXXVI) with L-alanyl-D-isoglutamine benzyl ester (XIV), by means of N-ethyl-5-phenylisoxazolium-3'-sulfonate (NEPIS, Woodward's reagent K) as the coupling reagent, furnished amide (XLIX). The benzyl ester group of (XLIX) was finally cleaved by hydrogenolysis over Pd/C.

合成路线图解说明:

The precursor N-acetylglucosaminyl-N-acetylmuramic acid (XXXVI) was obtained by an alternative route. The protected glucosamine acid (L) was esterified with benzyl alcohol in the presence of EDC and DMAP to yield the benzyl ester (LI). The 4,6-O-benzylidene group of (LI) was then subjected to reductive cleavage with NaBH3CN, producing the 6-O-benzyl-4-hydroxy derivative (LII). Coupling of (LII) with the thioglucoside (LIII) was accomplished in the presence of nitrosyl tetrafluoroborate, to afford (LIV). Depththaloylation and hydrolysis of (LIV) with methanolic butylamine provided (LV). Then, amino group acetylation with Ac2O in MeOH gave amide (LVI). The O-benzyl protecting groups of (LVI) were then removed by catalytic hydrogenation, leading to precursor (XXXVI).

参考文献No.58301
标题:Immunologically active peptidyl disaccharides, methods of preparation and vaccine
作者:Durette, P.L.; Shen, T.-Y. (Merck & Co., Inc.)
来源:EP 0018901
合成路线图解说明:

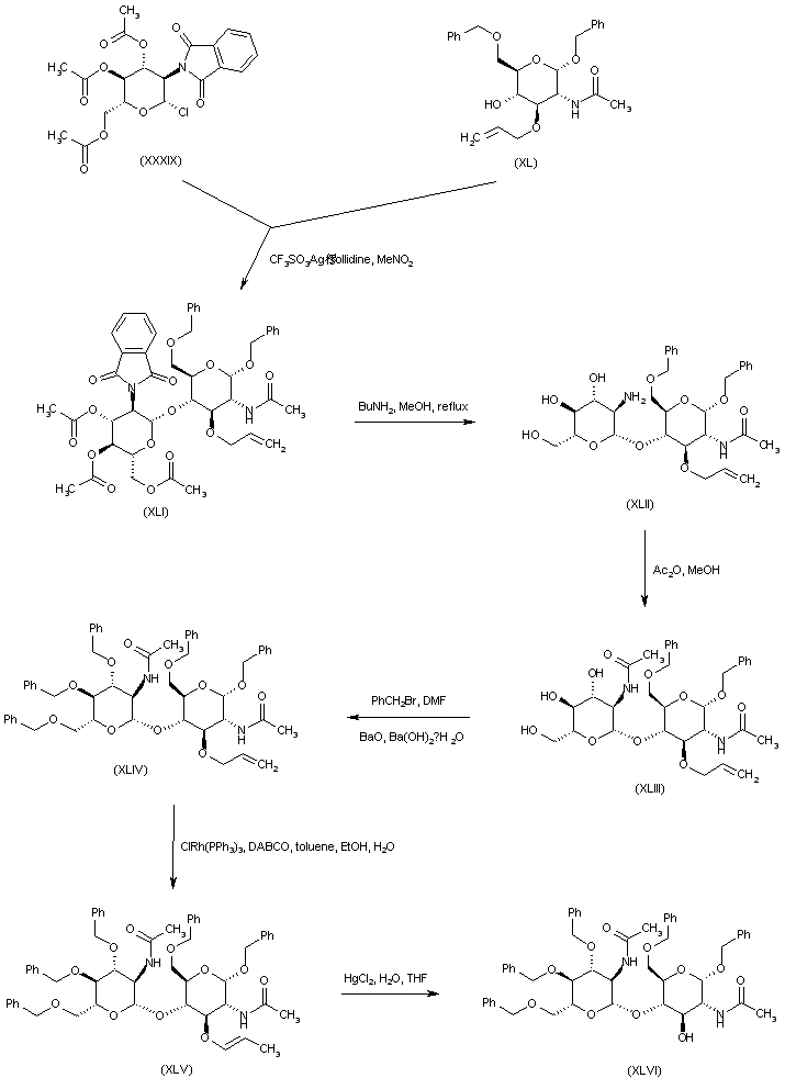
Condensation of the glucopyranosyl chloride (XXXIX) with the protected glucosamine (XL) in the presence of silver triflate-s-collidine complex gave disaccharide (XLI). Subsequent dephthaloylation and ester hydrolysis of (XLI) by means of n-butylamine in boiling MeOH furnished (XLII). Chemoselective acylation of the amino group of (XLII) with Ac2O in MeOH provided acetamide (XLIII). The free hydroxyl groups of (XLIII) were then protected as the corresponding benzyl ethers (XLIV) employing benzyl bromide in the presence of barium oxide and barium hydroxyde. The O-allyl group of (XLIV) was then isomerized in the presence of DABCO and rhodium catalyst to the 1-propenyl analogue (XLV), which was further hydrolyzed to alcohol (XLVI) by treatment with HgCl2.

合成路线图解说明:

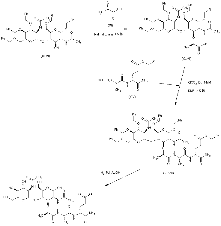
Alkylation of (XLVI) with (S)-2-chloropropionic acid (XI) provided the lactic acid derivative (XLVII). This was subsequently coupled with the dipeptide amide (XIV), via activation as the mixed anhydride with isobutyl chloroformate, to give the protected disaccharide dipeptide (XLVIII). Finally, hydrogenolysis of the O-benzyl protecting groups of (XLVIII) in the presence of palladium black led to the title compound.

参考文献No.58302
标题:Preparation of glucosaminyl muramic acid derivs.
作者:Vosika, G.J.; Ma, F. (DOR BioPharma, Inc.)
来源:WO 9712894
合成路线图解说明:

The disaccharide derivative (XXXVI) was isolated from the enzymatic hydrolysis of the cell walls obtained from cultures of Micrococcus lysodeikticus. Condensation of (XXXVI) with L-alanyl-D-isoglutamine benzyl ester (XIV), by means of N-ethyl-5-phenylisoxazolium-3'-sulfonate (NEPIS, Woodward's reagent K) as the coupling reagent, furnished amide (XLIX). The benzyl ester group of (XLIX) was finally cleaved by hydrogenolysis over Pd/C.

合成路线图解说明:

The precursor N-acetylglucosaminyl-N-acetylmuramic acid (XXXVI) was obtained by an alternative route. The protected glucosamine acid (L) was esterified with benzyl alcohol in the presence of EDC and DMAP to yield the benzyl ester (LI). The 4,6-O-benzylidene group of (LI) was then subjected to reductive cleavage with NaBH3CN, producing the 6-O-benzyl-4-hydroxy derivative (LII). Coupling of (LII) with the thioglucoside (LIII) was accomplished in the presence of nitrosyl tetrafluoroborate, to afford (LIV). Depththaloylation and hydrolysis of (LIV) with methanolic butylamine provided (LV). Then, amino group acetylation with Ac2O in MeOH gave amide (LVI). The O-benzyl protecting groups of (LVI) were then removed by catalytic hydrogenation, leading to precursor (XXXVI).

参考文献No.297039
标题:Enzymatic preparation of an immunostimulant, the disaccharide-dipeptide, N-acetyl-beta-D-glucosaminyl-(1--4)-N-acetylmuramyl-L-alanyl-D-isoglutamine, from a bacterial peptidoglycan
作者:Guinand, M.; Francon, A.; Vacheron, M.J.; Michel, G.
来源:Eur J Biochem 1984,143(2),359
合成路线图解说明:

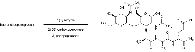
The title disaccharide-dipeptide was obtained by enzymatic degradation of the peptidoglycan of Actinomadura R39. The peptidoglycan was hydrolyzed successively by the 3 following enzymes: lysozyme, DD-carboxypeptidase and gamma-D-glutamyl-meso-diaminopimelate endopeptidase I.

参考文献No.703310
标题:Synthesis of N-acetyl-beta-D-glucosaminyl-(1-4)-N-acetylmuramyl-L-alanyl-D-isoglutamine
作者:Kusumoto, S.; et al.
来源:Tetrahedron Lett 1978,(45),4407
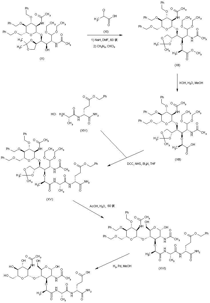
合成路线图解说明:

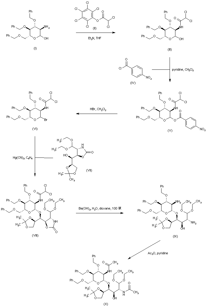
Acylation of 3,4,6-tri-O-benzyl-D-glucosamine (I) by means of pentachlorophenyl dichloroacetate (II) yielded the dichloroacetamide (III). Acylation of glucosamine (III) with acid chloride (IV) in pyridine/CH2Cl2 provided the 1-O-p-nitrobenzoyl derivative (V), which was treated with hydrogen bromide in CH2Cl2 to furnish glycosyl bromide (VI). Coupling of bromide (VI) with the glucosamine cyclic carbamate (VII) was performed in the presence of mercury(II) cyanide to afford the disaccharide (VIII). Alkaline hydrolysis of the dichloroacetamide and cyclic carbamate functions of (VIII) gave diamine (IX), which was subsequently acetylated to diamide (X) by means of acetic anhydride in pyridine.

合成路线图解说明:

Alkylation of the sodium alkoxide of (X) with (S)-2-chloropropionic acid (XI), followed by esterification with diazomethane provided the methyl ester adduct (XII). Alkaline hydrolysis of ester (XII) with KOH yielded carboxylic acid (XIII), which was coupled with the dipeptide amide (XIV) to give the protected disaccharide dipeptide (XV). Subsequent acidic hydrolysis of the ketal functions of (XV) proceeded with concomitant cyclization to the pyranose form (XVI). The O-benzyl protecting groups of (XVI) were finally removed by catalytic hydrogenolysis in the presence of palladium black.

参考文献No.703311
标题:Chemical synthesis and biological activities of two disaccharide dipeptides corresponding to the repeating units of bacterial peptidoglycan
作者:Kusumoto, S.; et al.
来源:Bull Chem Soc Jpn 1986,59(5),1411
合成路线图解说明:

Acylation of 3,4,6-tri-O-benzyl-D-glucosamine (I) by means of pentachlorophenyl dichloroacetate (II) yielded the dichloroacetamide (III). Acylation of glucosamine (III) with acid chloride (IV) in pyridine/CH2Cl2 provided the 1-O-p-nitrobenzoyl derivative (V), which was treated with hydrogen bromide in CH2Cl2 to furnish glycosyl bromide (VI). Coupling of bromide (VI) with the glucosamine cyclic carbamate (VII) was performed in the presence of mercury(II) cyanide to afford the disaccharide (VIII). Alkaline hydrolysis of the dichloroacetamide and cyclic carbamate functions of (VIII) gave diamine (IX), which was subsequently acetylated to diamide (X) by means of acetic anhydride in pyridine.

合成路线图解说明:

Alkylation of the sodium alkoxide of (X) with (S)-2-chloropropionic acid (XI), followed by esterification with diazomethane provided the methyl ester adduct (XII). Alkaline hydrolysis of ester (XII) with KOH yielded carboxylic acid (XIII), which was coupled with the dipeptide amide (XIV) to give the protected disaccharide dipeptide (XV). Subsequent acidic hydrolysis of the ketal functions of (XV) proceeded with concomitant cyclization to the pyranose form (XVI). The O-benzyl protecting groups of (XVI) were finally removed by catalytic hydrogenolysis in the presence of palladium black.

参考文献No.703313
标题:Synthesis and immunoadjuvant activities of the repeating, disaccharide-dipeptide unit of the bacterial, cell-wall peptidoglycan and of some carbohydrate analogs
作者:Kiso, M.; Kaneda, Y.; Shimizu, R.; Hasegawa, A.; Azuma, I.
来源:Carbohydr Res 1982,104(2),253
合成路线图解说明:

In an alternative route, 2-N-acetyl-4,6-O-isopropylidene-D-glucosamine benzyl pyranoside (XVII) was alkylated with 1-bromo-2-butene (XVIII) in the presence of barium oxide and barium hydroxide to produce the 3-O-crotyl ether (XIX). After acidic hydrolysis of the isopropylidene ketal (XIX), the resultant diol (XX) was selectively mono-acylated at the primary hydroxyl with benzoyl chloride (XXI) to afford the 6-benzoate ester (XXII). Protection of the 3-hydroxyl group of (XXII) by means of dihydropyran (DHP) and p-toluenesulfonic acid gave rise to the tetrahydropyranyl ether (XXIII). After methanolysis of the benzoate ester of (XXIII) in the presence of NaOMe, the resultant primary alcohol (XXIV) was protected as the benzyl ether (XXV). Subsequent hydrolysis of the tetrahydropyranyl group of (XXV) in aqueous HOAc furnished the protected glucosamine intermediate (XXVI).

合成路线图解说明:

Glycosylation of the protected glucosamine (XXVI) with the glucopyranooxazoline (XXVII) was effected in the presence of p-toluenesulfonic acid in dichloroethane to give the protected chitobioside derivative (XXVIII). Methanolysis of the acetate esters of (XXVIII), followed by protection of the resultant triol (XXIX) with acetone dimethylacetal, gave rise to the 4',6'-isopropylidene derivative (XXX). The 3'-hydroxyl group of (XXX) was then protected as the benzyl ether (XXXI) with benzyl bromide in the presence of Ba(OH)2 and BaO. Removal of the 2-butenyl group of (XXXI) to furnish (XXXII) was performed by means of potassium tert-butoxide in hot DMSO. Subsequent alkylation of (XXXII) with (S)-2-chloropropionic acid (XI) led to acid (XXXIII).

合成路线图解说明:

Coupling of acid (XXXIII) with the dipeptide amide (XIV) was conducted with DCC and NHS as the activating agents to give the lactoyl-dipeptide derivative (XXXIV). Hydrolytic removal of the isopropylidene ketal provided diol (XXXV). The benzyl groups of (XXXV) were finally removed by hydrogenolysis in the presence of Pd/C to afford the title compound.

参考文献No.703314
标题:A general, convenient synthesis of the repeating, disaccharide-dipeptide unit of the bacterial, cell-wall peptidoglycan by the oxazoline method
作者:Kiso, M.; et al.
来源:Carbohydr Res 1980,83(1),C8
合成路线图解说明:

In an alternative route, 2-N-acetyl-4,6-O-isopropylidene-D-glucosamine benzyl pyranoside (XVII) was alkylated with 1-bromo-2-butene (XVIII) in the presence of barium oxide and barium hydroxide to produce the 3-O-crotyl ether (XIX). After acidic hydrolysis of the isopropylidene ketal (XIX), the resultant diol (XX) was selectively mono-acylated at the primary hydroxyl with benzoyl chloride (XXI) to afford the 6-benzoate ester (XXII). Protection of the 3-hydroxyl group of (XXII) by means of dihydropyran (DHP) and p-toluenesulfonic acid gave rise to the tetrahydropyranyl ether (XXIII). After methanolysis of the benzoate ester of (XXIII) in the presence of NaOMe, the resultant primary alcohol (XXIV) was protected as the benzyl ether (XXV). Subsequent hydrolysis of the tetrahydropyranyl group of (XXV) in aqueous HOAc furnished the protected glucosamine intermediate (XXVI).

合成路线图解说明:

Glycosylation of the protected glucosamine (XXVI) with the glucopyranooxazoline (XXVII) was effected in the presence of p-toluenesulfonic acid in dichloroethane to give the protected chitobioside derivative (XXVIII). Methanolysis of the acetate esters of (XXVIII), followed by protection of the resultant triol (XXIX) with acetone dimethylacetal, gave rise to the 4',6'-isopropylidene derivative (XXX). The 3'-hydroxyl group of (XXX) was then protected as the benzyl ether (XXXI) with benzyl bromide in the presence of Ba(OH)2 and BaO. Removal of the 2-butenyl group of (XXXI) to furnish (XXXII) was performed by means of potassium tert-butoxide in hot DMSO. Subsequent alkylation of (XXXII) with (S)-2-chloropropionic acid (XI) led to acid (XXXIII).

合成路线图解说明:

Coupling of acid (XXXIII) with the dipeptide amide (XIV) was conducted with DCC and NHS as the activating agents to give the lactoyl-dipeptide derivative (XXXIV). Hydrolytic removal of the isopropylidene ketal provided diol (XXXV). The benzyl groups of (XXXV) were finally removed by hydrogenolysis in the presence of Pd/C to afford the title compound.

参考文献No.703317
标题:Bacterial cell wall glycopeptides as adjuvants
作者:Andronova, T.M.; et al.
来源:Colloq INSERM 1989,174561
合成路线图解说明:

A more direct procedure was based on the activation of the unprotected disaccharide acid (XXXVI) as the pentafluorophenyl ester (XXXVII) by treatment with bis(pentafluorophenyl) carbonate. Active ester (XXXVII) was subsequently coupled with L-alanyl-D-isoglutamine (XXXVIII) to afford the corresponding amide.

参考文献No.703378
标题:Synthesis of O-(2-acetamido-2-deoxy-beta-D-glucosyl)-(1--4)-N-acetylmuramoyl-L-alanyl-D-isoglutamine, the repeating disaccharide-dipeptide unit of the bacterial cell-wall peptidoglycan
作者:Durette, P.L.; et al.
来源:Carbohydr Res 1979,77C1
合成路线图解说明:

Condensation of the glucopyranosyl chloride (XXXIX) with the protected glucosamine (XL) in the presence of silver triflate-s-collidine complex gave disaccharide (XLI). Subsequent dephthaloylation and ester hydrolysis of (XLI) by means of n-butylamine in boiling MeOH furnished (XLII). Chemoselective acylation of the amino group of (XLII) with Ac2O in MeOH provided acetamide (XLIII). The free hydroxyl groups of (XLIII) were then protected as the corresponding benzyl ethers (XLIV) employing benzyl bromide in the presence of barium oxide and barium hydroxyde. The O-allyl group of (XLIV) was then isomerized in the presence of DABCO and rhodium catalyst to the 1-propenyl analogue (XLV), which was further hydrolyzed to alcohol (XLVI) by treatment with HgCl2.

合成路线图解说明:

Alkylation of (XLVI) with (S)-2-chloropropionic acid (XI) provided the lactic acid derivative (XLVII). This was subsequently coupled with the dipeptide amide (XIV), via activation as the mixed anhydride with isobutyl chloroformate, to give the protected disaccharide dipeptide (XLVIII). Finally, hydrogenolysis of the O-benzyl protecting groups of (XLVIII) in the presence of palladium black led to the title compound.

Drug Information Express,Drug R&D,Chemical Database,Patent Search.
Copyright © 2006-2026 Drug Future. All rights reserved.Contact Us