【药物名称】Amprenavir, KVX-478, 141W94, VX-478, Prozei, Agenerase
化学结构式(Chemical Structure):
参考文献No.23413
标题:Sulfonamide inhibitors of HIV-aspartyl protease
作者:Tung, R.D.; Murcko, M.A.; Bhisetti, G.R. (Vertex Pharmaceuticals Inc.)
来源:EP 0659181; EP 0885887; JP 1996501299; US 5585397; WO 9405639
合成路线图解说明:

The reaction of the chiral epoxide (I) with isobutylamine (II) in refluxing ethanol gives the secondary amine (III), which is protected with benzyl chloroformate (IV) and TEA, yielding the dicarbamate (V). Selective deprotection of (V) with dry HCl in ethyl acetate affords the primary amine (VI), which is treated with 3(S)-tetrahydrofuryl N-succinimidinyl carbonate (VII) (prepared by condensation of tetrahydrofuran-3(S)-ol (VIII) with phosgene and N-hydroxysuccinimide (IX)) and DIEA in acetonitrile to provide the corresponding carbamate (X). The deprotection of (X) by hydrogenation with H2 over Pd/C in ethanol gives the secondary amine (XI), which is condensed with 4-nitrophenylsulfonyl chloride (XII) by means of NaHCO3 in dichloromethane/water to yield the sulfonamide (XIII). Finally, the nitro group of (XIII) is reduced with H2 over Pd/C in ethyl acetate to afford the target compound.

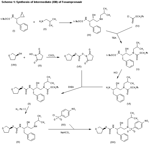
合成路线图解说明:

The reaction of the chiral epoxide (I) with isobutylamine (II) in refluxing ethanol gives the secondary amine (III), which is protected with benzyl chloroformate (IV) and TEA, yielding dicarbamate (V). Selective deprotection of (V) with dry HCl in ethyl acetate affords the primary amine (VI), which is treated with 3(S)-tetrahydrofuryl N-succinimidinyl carbonate (VII) -- obtained by reaction of tetrahydrofuran-3(S)-ol (VIII) first with phosgene and then with N-hydroxysuccinimide (IX) -- and DIEA in acetonitrile to provide the corresponding carbamate (X). Deprotection of (X) by hydrogenation with H2 over Pd/C in ethanol gives the secondary amine (XI), which is condensed with 4-nitrophenylsulfonyl chloride (XII) by means of NaHCO3 in dichloromethane/water to yield the sulfonamide intermediate (XIII).

参考文献No.48435
标题:Process for the synthesis of HIV protease inhibitors
作者:Deininger, D.D.; O'Callaghan, J.; McGuie, S.; Singh, H.; Robertson, M.S.; Rodgers, K.; Tung, R.D.; Al-Farhan, E.; Rout, S.J. (Glaxo Group Ltd.)
来源:WO 9948885
合成路线图解说明:

Reaction of the chiral epoxide (I) with isobutylamine (II) in refluxing ethanol gives the secondary amine (III), which is condensed with 4-nitrophenylsulfonyl chloride (IV) and TEA in hot toluene to yield the sulfonamide (V). Deprotection of (V) with HCl hot toluene/water affords the primary amine (VI), which is condensed with imidazole-1-carboxylic acid 3(S)-tetrahydrofuryl ester (VII) [prepared by reaction of tetrahydrofuran-3(S)-ol (VIII) with carbonyldiimidazole (CDI) in ethyl acetate] to provide the corresponding carbamate (IX). Finally, the nitro group of (IX) is reduced with H2 over Pd/C in ethyl acetate to afford the target compound.

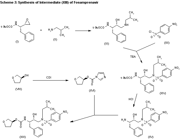
合成路线图解说明:

The reaction of the chiral epoxide (I) with isobutylamine (II) in refluxing ethanol gives the secondary amine (III), which is condensed with 4-nitrophenylsulfonyl chloride (XII) and TEA in hot toluene, yielding sulfonamide (XIV). Deprotection of (XIV) with HCl in hot toluene/water affords the primary amine (XV), which is condensed with imidazole-1-carboxylic acid 3(S)-tetrahydrofuryl ester (XVI) -- prepared by reaction of tetrahydrofuran-3(S)-ol (VIII) with carbonyldiimidazole (CDI) in ethyl acetate -- to provide intermediate (XIII).

参考文献No.610985
标题:Re- and si-face-selective nitroaldol reactions catalyzed by a rigid chiral quaternary ammonium salt: A highly stereoselective synthesis of the HIV protease inhibitor amprenavir (Vertex 478)
作者:Corey, E.J.; Zhang, F.-Y.
来源:Angew Chem. Int Ed Engl 1999,38(13-14),1931
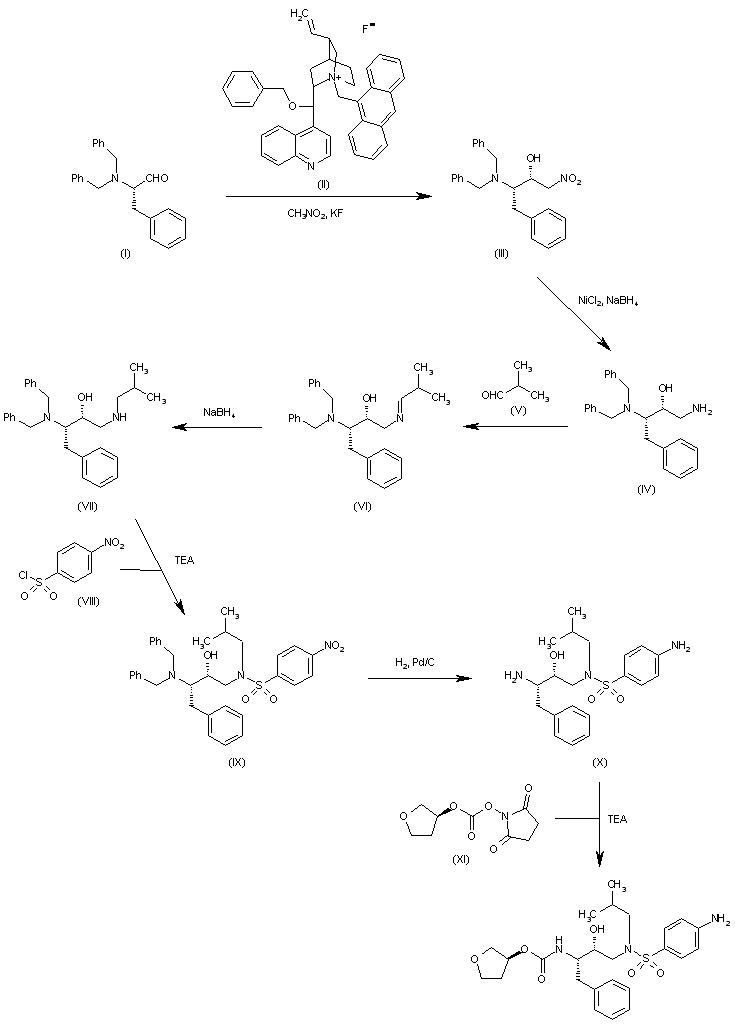
合成路线图解说明:

The reaction of N,N-dibenzyl-L-alaninal (I) with nitromethane, catalyzed by the chiral ammonium salt (II) and KF in THF gives the chiral nitroalcohol (III), which is reduced with NiCl2 and NaBH4 to yield the aminoalcohol (IV). The condensation of (IV) with isobutyraldehyde (V) affords the Schiff base (VI), which is reduced with NaBH4 to provide the secondary amine (VII). The reaction of (VII) with 4-nitrobenzenesulfonyl chloride (VIII) and TEA in dichloromethane furnishes the sulfonamide (IX), which is deprotected by hydrogenation with H2 over Pd/C in methanol, giving the diamino compound (X). Finally, this compound is condensed with 3(S)-tetrahydrofuryl (N-oxysuccinimidyl) carbonate (XI) by means of TEA in dichloromethane to afford the target carbamate.

Drug Information Express,Drug R&D,Chemical Database,Patent Search.
Copyright © 2006-2026 Drug Future. All rights reserved.Contact Us