【药物名称】Perifosine, KRX-0401, NKA17, D-21266
化学结构式(Chemical Structure):
参考文献No.604732
标题:Perifosine
作者:Engel, J.; Hilgard, P.; N鰏sner, G.; Voss, V.; Traiser, M.; Klenner, T.; Kutscher, B.
来源:Drugs Fut 2000,25(12),1257
合成路线图解说明:

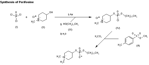
Perifosine was synthesized via a two-step process. In the first step, phosphorus oxytrichloride (I) was reacted with 4-hydroxy-1-methylpiperidine hydrochloride (II) in dichloromethane at room temperature using pyridine as auxiliary base. The resulting intermediate, without isolation, was reacted with octadecanol (III) to yield desmethyl perifosine (IV). Desmethyl perifosine was purified by recrystallization prior to methylation. The second step consisted of the methylation of desmethyl perifosine (IV), which was carried out with p-toluenesulfonic acid methyl ester in boiling ethanol using potassium carbonate as base. The crude perifosine solution that was obtained after filtration of the cooled reaction mixture was treated with ion exchange resin in order to remove remaining salts and ionic by-products. Pure perifosine was obtained after evaporation and crystallization.

参考文献No.803923
标题:Synthesis of hexadecylphosphocholine (miltefosine). Alkylphophocholines: New drugs in cancer therapy
作者:Eibl, H.; Engel, J.
来源:Prog Exp Tumor Res 1992,341-5
合成路线图解说明:

Perifosine was synthesized via a two-step process. In the first step, phosphorus oxytrichloride (I) was reacted with 4-hydroxy-1-methylpiperidine hydrochloride (II) in dichloromethane at room temperature using pyridine as auxiliary base. The resulting intermediate, without isolation, was reacted with octadecanol (III) to yield desmethyl perifosine (IV). Desmethyl perifosine was purified by recrystallization prior to methylation. The second step consisted of the methylation of desmethyl perifosine (IV), which was carried out with p-toluenesulfonic acid methyl ester in boiling ethanol using potassium carbonate as base. The crude perifosine solution that was obtained after filtration of the cooled reaction mixture was treated with ion exchange resin in order to remove remaining salts and ionic by-products. Pure perifosine was obtained after evaporation and crystallization.

Drug Information Express,Drug R&D,Chemical Database,Patent Search.
Copyright © 2006-2026 Drug Future. All rights reserved.Contact Us