【药物名称】OCX-0191, OCX-191, 3-AP, Triapine
化学结构式(Chemical Structure):
参考文献No.22314
标题:2-Formylpyridine thiosemicarbazone derivs., their preparation and their use as antitumor agents
作者:Sartorelli, A.C.; Lin, T.-S. (Yale University)
来源:EP 0570294; JP 1994128230; US 5281715; US 5721259
合成路线图解说明:

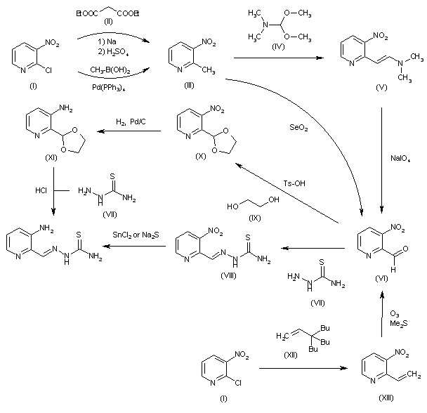
The title compound has been obtained by several related ways: The reaction of 2-chloro-3-nitropyridine (I) with methylboronic acid by means of Pd(PPh3)4 and K2CO3 in hot dioxane gives 2-methyl-3-nitropyridine (III), which is condensed with dimethylformamide dimethylacetal (IV) to yield 2-[2-(dimethylamino)vinyl]-3-nitropyridine (V). The oxidation of (V) by means of NaIO4 affords 3-nitropyridine-2-carbaldehyde (VI), which is condensed with semicarbazide (VII) to provide the corresponding semicarbazone (VIII). Finally, the nitro group of (VIII) is reduced with SnCl2 or Na2S to furnish the target 3-aminopyridine-2-carbaldehyde semicarbazone. 2-Methyl-3-nitropyridine (III) can also be obtained by condensation of 2-chloro-3-nitropyridine (I) with diethyl malonate (II) by means of Na, followed by decarboxylative hydrolysis with H2SO4 at 125 C. The direct oxidation of 2-methyl-3-nitropyridine (III) with SeO2 in dioxane gives carbaldehyde (VI), which is treated with ethyleneglycol (IX) and Ts-OH to yield the cyclic acetal (X). The reduction of (X) with H2 over Pd/C in ethanol affords 3-aminopyridine-2-carbaldehyde ethylene ketal (XI), which is treated with semicarbazide (VI) and HCl to afford the target 3-aminopyridine-2-carbaldehyde semicarbazone. The condensation of 2-chloro-3-nitropyridine (I) with tributyl vinyl tin (XII) Pd(PPh3)4 and PPH3 in refluxing toluene gives 3-nitro-2-vinylpyridine (XIII), which is oxidized with O3 and Me2S in methanol to yield 3-nitropyridine-2-carbaldehyde (VI). This compound is condensed with semicarbazide (VII) and reduced to the target compound as already described.

参考文献No.56727
标题:Process for the synthesis of ribonucleotide reductase inhibitors 3-AP and 3-AMP
作者:Doyle, T.W.; Li, J.; Chen, S.-H.; Li, X.; Niu, C.-S. (Vion Pharmaceuticals, Inc.)
来源:US 5869676; WO 9851670
合成路线图解说明:

The title compound has been obtained by several related ways: The reaction of 2-chloro-3-nitropyridine (I) with methylboronic acid by means of Pd(PPh3)4 and K2CO3 in hot dioxane gives 2-methyl-3-nitropyridine (III), which is condensed with dimethylformamide dimethylacetal (IV) to yield 2-[2-(dimethylamino)vinyl]-3-nitropyridine (V). The oxidation of (V) by means of NaIO4 affords 3-nitropyridine-2-carbaldehyde (VI), which is condensed with semicarbazide (VII) to provide the corresponding semicarbazone (VIII). Finally, the nitro group of (VIII) is reduced with SnCl2 or Na2S to furnish the target 3-aminopyridine-2-carbaldehyde semicarbazone. 2-Methyl-3-nitropyridine (III) can also be obtained by condensation of 2-chloro-3-nitropyridine (I) with diethyl malonate (II) by means of Na, followed by decarboxylative hydrolysis with H2SO4 at 125 C. The direct oxidation of 2-methyl-3-nitropyridine (III) with SeO2 in dioxane gives carbaldehyde (VI), which is treated with ethyleneglycol (IX) and Ts-OH to yield the cyclic acetal (X). The reduction of (X) with H2 over Pd/C in ethanol affords 3-aminopyridine-2-carbaldehyde ethylene ketal (XI), which is treated with semicarbazide (VI) and HCl to afford the target 3-aminopyridine-2-carbaldehyde semicarbazone. The condensation of 2-chloro-3-nitropyridine (I) with tributyl vinyl tin (XII) Pd(PPh3)4 and PPH3 in refluxing toluene gives 3-nitro-2-vinylpyridine (XIII), which is oxidized with O3 and Me2S in methanol to yield 3-nitropyridine-2-carbaldehyde (VI). This compound is condensed with semicarbazide (VII) and reduced to the target compound as already described.

参考文献No.460501
标题:Synthesis and antitumor activity of amino derivatives of pyridine-2-carboxaldehyde thiosemicarbazone
作者:Liu, M-C.; Lin, T.S.; Sartorelli, A.C.
来源:J Med Chem 1992,35(20),3672
合成路线图解说明:

The title compound has been obtained by several related ways: The reaction of 2-chloro-3-nitropyridine (I) with methylboronic acid by means of Pd(PPh3)4 and K2CO3 in hot dioxane gives 2-methyl-3-nitropyridine (III), which is condensed with dimethylformamide dimethylacetal (IV) to yield 2-[2-(dimethylamino)vinyl]-3-nitropyridine (V). The oxidation of (V) by means of NaIO4 affords 3-nitropyridine-2-carbaldehyde (VI), which is condensed with semicarbazide (VII) to provide the corresponding semicarbazone (VIII). Finally, the nitro group of (VIII) is reduced with SnCl2 or Na2S to furnish the target 3-aminopyridine-2-carbaldehyde semicarbazone. 2-Methyl-3-nitropyridine (III) can also be obtained by condensation of 2-chloro-3-nitropyridine (I) with diethyl malonate (II) by means of Na, followed by decarboxylative hydrolysis with H2SO4 at 125 C. The direct oxidation of 2-methyl-3-nitropyridine (III) with SeO2 in dioxane gives carbaldehyde (VI), which is treated with ethyleneglycol (IX) and Ts-OH to yield the cyclic acetal (X). The reduction of (X) with H2 over Pd/C in ethanol affords 3-aminopyridine-2-carbaldehyde ethylene ketal (XI), which is treated with semicarbazide (VI) and HCl to afford the target 3-aminopyridine-2-carbaldehyde semicarbazone. The condensation of 2-chloro-3-nitropyridine (I) with tributyl vinyl tin (XII) Pd(PPh3)4 and PPH3 in refluxing toluene gives 3-nitro-2-vinylpyridine (XIII), which is oxidized with O3 and Me2S in methanol to yield 3-nitropyridine-2-carbaldehyde (VI). This compound is condensed with semicarbazide (VII) and reduced to the target compound as already described.

参考文献No.691258
标题:Syntheses and antitumor activities of potent inhibitors of ribonucleotide reductase: 3-Amino-4-methylpyridine-2-carboxaldehyde-thiosemicarbazone (3-AMP), 3-amino-pyridine-2-carboxaldehyde-thiosemicarbazone (3-AP) and its water-soluble prodrugs
作者:Li, J.; Zheng, L.M.; King, I.; Doyle, T.W.; Chen, S.H.
来源:Curr Med Chem 2001,8(2),121
合成路线图解说明:

The title compound has been obtained by several related ways: The reaction of 2-chloro-3-nitropyridine (I) with methylboronic acid by means of Pd(PPh3)4 and K2CO3 in hot dioxane gives 2-methyl-3-nitropyridine (III), which is condensed with dimethylformamide dimethylacetal (IV) to yield 2-[2-(dimethylamino)vinyl]-3-nitropyridine (V). The oxidation of (V) by means of NaIO4 affords 3-nitropyridine-2-carbaldehyde (VI), which is condensed with semicarbazide (VII) to provide the corresponding semicarbazone (VIII). Finally, the nitro group of (VIII) is reduced with SnCl2 or Na2S to furnish the target 3-aminopyridine-2-carbaldehyde semicarbazone. 2-Methyl-3-nitropyridine (III) can also be obtained by condensation of 2-chloro-3-nitropyridine (I) with diethyl malonate (II) by means of Na, followed by decarboxylative hydrolysis with H2SO4 at 125 C. The direct oxidation of 2-methyl-3-nitropyridine (III) with SeO2 in dioxane gives carbaldehyde (VI), which is treated with ethyleneglycol (IX) and Ts-OH to yield the cyclic acetal (X). The reduction of (X) with H2 over Pd/C in ethanol affords 3-aminopyridine-2-carbaldehyde ethylene ketal (XI), which is treated with semicarbazide (VI) and HCl to afford the target 3-aminopyridine-2-carbaldehyde semicarbazone. The condensation of 2-chloro-3-nitropyridine (I) with tributyl vinyl tin (XII) Pd(PPh3)4 and PPH3 in refluxing toluene gives 3-nitro-2-vinylpyridine (XIII), which is oxidized with O3 and Me2S in methanol to yield 3-nitropyridine-2-carbaldehyde (VI). This compound is condensed with semicarbazide (VII) and reduced to the target compound as already described.

参考文献No.691259
标题:Synthesis of 3-aminopyridine-2-carboxaldehyde thiosemicarbazone (3-AP)
作者:Niu, C.; et al.
来源:Tetrahedron 1998,54(23),6311
合成路线图解说明:

The title compound has been obtained by several related ways: The reaction of 2-chloro-3-nitropyridine (I) with methylboronic acid by means of Pd(PPh3)4 and K2CO3 in hot dioxane gives 2-methyl-3-nitropyridine (III), which is condensed with dimethylformamide dimethylacetal (IV) to yield 2-[2-(dimethylamino)vinyl]-3-nitropyridine (V). The oxidation of (V) by means of NaIO4 affords 3-nitropyridine-2-carbaldehyde (VI), which is condensed with semicarbazide (VII) to provide the corresponding semicarbazone (VIII). Finally, the nitro group of (VIII) is reduced with SnCl2 or Na2S to furnish the target 3-aminopyridine-2-carbaldehyde semicarbazone. 2-Methyl-3-nitropyridine (III) can also be obtained by condensation of 2-chloro-3-nitropyridine (I) with diethyl malonate (II) by means of Na, followed by decarboxylative hydrolysis with H2SO4 at 125 C. The direct oxidation of 2-methyl-3-nitropyridine (III) with SeO2 in dioxane gives carbaldehyde (VI), which is treated with ethyleneglycol (IX) and Ts-OH to yield the cyclic acetal (X). The reduction of (X) with H2 over Pd/C in ethanol affords 3-aminopyridine-2-carbaldehyde ethylene ketal (XI), which is treated with semicarbazide (VI) and HCl to afford the target 3-aminopyridine-2-carbaldehyde semicarbazone. The condensation of 2-chloro-3-nitropyridine (I) with tributyl vinyl tin (XII) Pd(PPh3)4 and PPH3 in refluxing toluene gives 3-nitro-2-vinylpyridine (XIII), which is oxidized with O3 and Me2S in methanol to yield 3-nitropyridine-2-carbaldehyde (VI). This compound is condensed with semicarbazide (VII) and reduced to the target compound as already described.

Drug Information Express,Drug R&D,Chemical Database,Patent Search.
Copyright © 2006-2026 Drug Future. All rights reserved.Contact Us