【药物名称】Cilomilast, SB-207499, Ariflo
化学结构式(Chemical Structure):
参考文献No.22105
标题:Cpds. useful for treating allergic and inflammatory diseases
作者:Christensen, S.B. IV (SmithKline Beecham plc)
来源:EP 0633776; EP 0919544; JP 1995508508; US 5552438; US 5602157; WO 9319749
合成路线图解说明:

The reaction of 3-cyclopentyloxy-4-methoxybenzaldehyde (I) with LiBr, trimethylsilyl chloride (TMS-Cl) and 1,1,3,3-tetramethyldisiloxane in acetonitrile gives the corresponding benzyl bromide (II), which by reaction with NaCN in DMF affords 2-(3-cyclopentyloxy-4-methoxyphenyl)acetonitrile (III). The condensation of (III) with methyl acrylate (IV) by means of Triton B in refluxing acetonitrile yields the 4-cyanopimelate (V), which is cyclized by means of NaH in refluxing DME, giving the 2-oxocyclohexanecarboxylic ester (VI). The decarboxylation of (VI) by means of NaCl in DMSO/water at 150 C yields the cyclohexanone (VII), which is condensed with 2-(trimethylsilyl)-1,3-dithiane (VIII) by means of BuLi in THF, affording the cyclohexylidene-dithiane (IX). The methanolysis of (IX) catalyzed by HgCl2 and HClO4 in refluxing methanol gives a mixture of the cis- and trans-4-cyano-4-(3-cyclopentyloxy-4-methoxyphenyl)cyclohexanecarboxylic acid methyl ester which is submitted to flash chromatography to obtain the cis-isomer (XII). Finally, this compound is hydrolyzed with KOH in methanol/THF/water.

参考文献No.27907
标题:Cyano cpds. and preparation thereof
作者:Bordas-Nagy, J.; Gorycki, P.; Webb, K.S. (SmithKline Beecham plc)
来源:JP 1997510213; WO 9524381
合成路线图解说明:

The reaction of 3-cyclopentyloxy-4-methoxybenzaldehyde (I) with LiBr, trimethylsilyl chloride (TMS-Cl) and 1,1,3,3-tetramethyldisiloxane in acetonitrile gives the corresponding benzyl bromide (II), which by reaction with NaCN in DMF affords 2-(3-cyclopentyloxy-4-methoxyphenyl)acetonitrile (III). The condensation of (III) with methyl acrylate (IV) by means of Triton B in refluxing acetonitrile yields the 4-cyanopimelate (V), which is cyclized by means of NaH in refluxing DME, giving the 2-oxocyclohexanecarboxylic ester (VI). The decarboxylation of (VI) by means of NaCl in DMSO/water at 150 C yields the cyclohexanone (VII), which is condensed with 2-(trimethylsilyl)-1,3-dithiane (VIII) by means of BuLi in THF, affording the cyclohexylidene-dithiane (IX). The methanolysis of (IX) catalyzed by HgCl2 and HClO4 in refluxing methanol gives a mixture of the cis- and trans-4-cyano-4-(3-cyclopentyloxy-4-methoxyphenyl)cyclohexanecarboxylic acid methyl ester which is submitted to flash chromatography to obtain the cis-isomer (XII). Finally, this compound is hydrolyzed with KOH in methanol/THF/water.

参考文献No.457488
标题:SB-207499
作者:Graul, A.; Casta馿r, J.; Silvestre, J.S.
来源:Drugs Fut 1998,23(6),607
合成路线图解说明:

The reaction of 3-cyclopentyloxy-4-methoxybenzaldehyde (I) with LiBr, trimethylsilyl chloride (TMS-Cl) and 1,1,3,3-tetramethyldisiloxane in acetonitrile gives the corresponding benzyl bromide (II), which by reaction with NaCN in DMF affords 2-(3-cyclopentyloxy-4-methoxyphenyl)acetonitrile (III). The condensation of (III) with methyl acrylate (IV) by means of Triton B in refluxing acetonitrile yields the 4-cyanopimelate (V), which is cyclized by means of NaH in refluxing DME, giving the 2-oxocyclohexanecarboxylic ester (VI). The decarboxylation of (VI) by means of NaCl in DMSO/water at 150 C yields the cyclohexanone (VII), which is condensed with 2-(trimethylsilyl)-1,3-dithiane (VIII) by means of BuLi in THF, affording the cyclohexylidene-dithiane (IX). The methanolysis of (IX) catalyzed by HgCl2 and HClO4 in refluxing methanol gives a mixture of the cis- and trans-4-cyano-4-(3-cyclopentyloxy-4-methoxyphenyl)cyclohexanecarboxylic acid methyl ester which is submitted to flash chromatography to obtain the cis-isomer (XII). Finally, this compound is hydrolyzed with KOH in methanol/THF/water.

参考文献No.458781
标题:1,4-Cyclohexanecarboxylates: Potent and selective inhibitors of phosphodiesterase 4 for the treatment of asthma
作者:Christensen, S.B.; Guider, A.; Forster, C.J.; Gleason, J.G.; Bender, P.E.; Karpinski, J.M.; DeWolf ,W.E. Jr.; Barnette, M.S.; Underwood, D.C.; Griswold, D.E.; Cieslinski, L.B.; Burman, M.; Bochnowicz, S.; Osborn, R.R.; Manning, C.D.; Grous, M.; et al.
来源:J Med Chem 1998,41(6),821-35
合成路线图解说明:

The reaction of 3-cyclopentyloxy-4-methoxybenzaldehyde (I) with LiBr, trimethylsilyl chloride (TMS-Cl) and 1,1,3,3-tetramethyldisiloxane in acetonitrile gives the corresponding benzyl bromide (II), which by reaction with NaCN in DMF affords 2-(3-cyclopentyloxy-4-methoxyphenyl)acetonitrile (III). The condensation of (III) with methyl acrylate (IV) by means of Triton B in refluxing acetonitrile yields the 4-cyanopimelate (V), which is cyclized by means of NaH in refluxing DME, giving the 2-oxocyclohexanecarboxylic ester (VI). The decarboxylation of (VI) by means of NaCl in DMSO/water at 150 C yields the cyclohexanone (VII), which is condensed with 2-(trimethylsilyl)-1,3-dithiane (VIII) by means of BuLi in THF, affording the cyclohexylidene-dithiane (IX). The methanolysis of (IX) catalyzed by HgCl2 and HClO4 in refluxing methanol gives a mixture of the cis- and trans-4-cyano-4-(3-cyclopentyloxy-4-methoxyphenyl)cyclohexanecarboxylic acid methyl ester which is submitted to flash chromatography to obtain the cis-isomer (XII). Finally, this compound is hydrolyzed with KOH in methanol/THF/water.

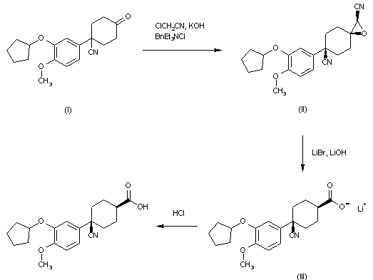
参考文献No.716474
标题:A practical synthesis of the PDE4 inhibitor, SB-207499, from a cyclohexanone precursor
作者:Badham, N.F.; Chen, J.-H.; Cummings, P.G.; Dell'Orco, P.C.; Diederich, A.M.; Eldridge, A.M.; Mendelson, W.L.; Mills, R.J.; Novack, V.J.; Olsen, M.A.; Rustum, A.M.; Webb, K.S.; Yang, S.
来源:Org Process Res Dev 2003,7(1),101
合成路线图解说明:

The reaction of cyclohexanone (I) with chloroacetonitrile, KOH and benzyltriethylammonium chloride in THF gives the cyanoepoxide (II), which is treated with LiBr and LiOH in DMF/acetonitrile/water to yield the lithium salt (III) of the title product. Finally, this salt is treated with HCl in ethyl acetate to afford the target Cilomilast.

Drug Information Express,Drug R&D,Chemical Database,Patent Search.
Copyright © 2006-2026 Drug Future. All rights reserved.Contact Us