【药物名称】Leteprinim potassium, AIT0082, AIT-082, Neotrofin, Neotrophin
化学结构式(Chemical Structure):
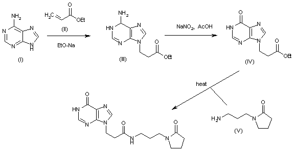
参考文献No.23216
标题:Multi-functional pharmaceutical cpds. and methods of use
作者:Glasky, A.J.
来源:WO 9114434
合成路线图解说明:

The condensation of adenine (I) with ethyl acrylate (II) by means of NaOEt in refluxing ethanol gives 3-(6-amino-1,6-dihydro-9H-purin-9-yl)propionic acid ethyl ester (III), which is treated with NaNO2 and HOAc to yield 3-(6-oxo-1,6-dihydro-9H-purin-9-yl)propionic acid ethyl ester (IV). Finally, this compound is treated with 1-(3-aminopropyl)-2-pyrrolidinone (V) in refluxing acetonitrile to afford the target propionamide.

合成路线图解说明:

The condensation of adenine (I) with ethyl acrylate (II) by means of sodium ethoxide in methanol gives 3-(9-adenyl)propionic acid ethyl ester (III), which is treated with NaNO2/acetic acid yielding 3-(6-oxo-1,6-dihydro-9H-purin-9-yl)propionic acid ethyl ester (IV). The hydrolysis of (IV) with KOH in water affords the corresponding free acid (V), which is esterified with 4-chlorophenyl trifluoroacetate (VI) in pyridine giving the expected 4-chlorophenyl ester (VII). The condensation of ester (VII) with ethyl 4-aminobenzoate (VIII) by heating (35-40 C) in DMSO yields 4-[3-(6-oxo-1,6-dihydro-9H-purin-9-yl)propionamido]benzoic acid ethyl ester (IX), which is finally hydrolyzed with KOH in water.

参考文献No.423213
标题:AIT-082
作者:Graul, A.; Casta馿r, J.
来源:Drugs Fut 1997,22(9),945
合成路线图解说明:

The condensation of adenine (I) with ethyl acrylate (II) by means of sodium ethoxide in methanol gives 3-(9-adenyl)propionic acid ethyl ester (III), which is treated with NaNO2/acetic acid yielding 3-(6-oxo-1,6-dihydro-9H-purin-9-yl)propionic acid ethyl ester (IV). The hydrolysis of (IV) with KOH in water affords the corresponding free acid (V), which is esterified with 4-chlorophenyl trifluoroacetate (VI) in pyridine giving the expected 4-chlorophenyl ester (VII). The condensation of ester (VII) with ethyl 4-aminobenzoate (VIII) by heating (35-40 C) in DMSO yields 4-[3-(6-oxo-1,6-dihydro-9H-purin-9-yl)propionamido]benzoic acid ethyl ester (IX), which is finally hydrolyzed with KOH in water.

Drug Information Express,Drug R&D,Chemical Database,Patent Search.
Copyright © 2006-2026 Drug Future. All rights reserved.Contact Us