【药物名称】Licostinel, CGP-63446, ACEA-1021
化学结构式(Chemical Structure):
参考文献No.468593
标题:Synthesis of a C-11-labelled nitrated 1,4-dihydroquinoxaline-2,3-dione, the NMDA glycine receptor antagonist ACEA 1021 (Licostinel)
作者:Thorell, J.O.; et al.
来源:J Label Compd Radiopharm 1998,41(4),345-353
合成路线图解说明:

Reaction of tetrabutylammonium [11C]cyanide (I) with methyl chloroformate in a two phase system afforded labeled methyl cyanoformate (II), which was refluxed in ethanolic HCl to yield diethyl [1-11C]oxalate (III).

合成路线图解说明:

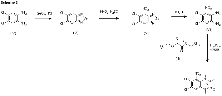
Phenylenediamine (IV) was protected as the benzoselenadiazole (V) on treatment with selenium dioxide in 1 N HCl. The subsequent nitration with nitric and sulfuric acid provided (VI), which on stirring with a mixture of concentrated HCl and HI gave the nitrodiamine (VII). Cyclization of (VII) with labeled diethyl oxalate (III) in sulfuric acid at 175 C yielded labeled quinoxalinedione.

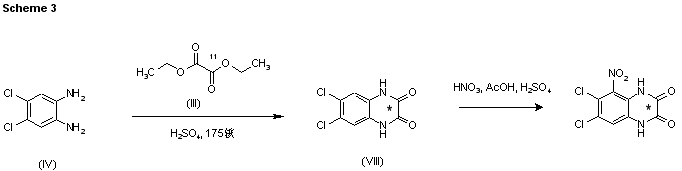
合成路线图解说明:

Alternatively, condensation of phenylenediamine (IV) with oxalate (III) in hot sulfuric acid afforded labeled quinoxalinedione (VIII), to which was added acetic acid or diethyl oxalate in order to protect amino groups, and was then nitrated with fuming nitric acid and sulfuric acid.

合成路线图解说明:

Treatment of amino acid (I) with isobutylene (II) and H2SO4 in dioxane afforded tert-butyl ester (III), which was coupled with carboxylic acid (IV) in the presence of 1-(3-dimethylaminopropyl)-3-ethylcarbodiimide (EDC) and 1-hydroxybenzotriazole (HOBT) to give (V). Removal of the benzyloxycarbonyl protecting group by hydrogenolysis provided amine (VI) which, on reaction with 2-bromotoluenesulfonyl chloride (VII) and pyridine in refluxing ethyl acetate was converted into sulfonamide (VIII). Deprotection of both tert-butyl groups was effected by treatment with trifluoroacetic acid in dichloromethane, to give (IX) as the trifluoroacetate salt. Tritium labeled compound was then obtained by reductive debromination with tritium gas, using Pearlman's catalyst in the presence of triethylamine.

Drug Information Express,Drug R&D,Chemical Database,Patent Search.
Copyright © 2006-2026 Drug Future. All rights reserved.Contact Us