【药物名称】SCA-40
化学结构式(Chemical Structure):
参考文献No.543512
标题:New imidazol[1,2-a]pyrazine derivatives withbronchodilatory and cyclic nucleotide phosphodiesterase inhibitory activities
作者:Vitse, O.; Laurent, F.; Pocock, T.M.; Benezech, V.; Zanik, L.; Elliott, K.R.; Subra, G.; Portet, K.; Bompart, J.; Chapat, J.P.; Small, R.C.; Michel, A.; Bonnet, P.A.
来源:Bioorg Med Chem 1999,7(6),1059
合成路线图解说明:

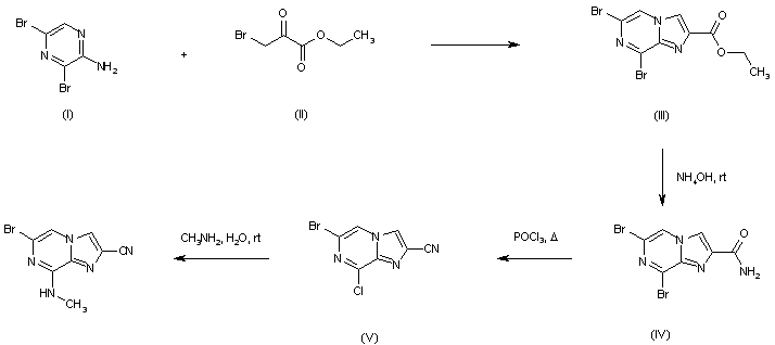
The precursor imidazopyrazine (III) was prepared by condensation of 2-amino-3,5-dibromopyrazine (I) with ethyl 3-bromopyruvate (II). Subsequent treatment of ester (III) with aqueous ammonia produced the corresponding amide (IV). This was then dehydrated with phosphoryl chloride, with concomitant displacement of the 8-bromine for a chloro group, to yield nitrile (V). Finally, substitution of the chloride by methyl amine in (V) furnished the target compound.

参考文献No.555590
标题:Synthesis of imidazo[1,2-a]pyrazine derivatives with uterine-relaxing, antibronchospastic, and cardiac-stimulating properties
作者:Sablayrolles, C.; Cros, G.H.; Milhavet, J.C.; Rechenq, E.; Chapat, J.P.; Boucard, M.; Serrano, J.J.; McNeill, J.H.
来源:J Med Chem 1984,27(2),206
合成路线图解说明:

The precursor imidazopyrazine (III) was prepared by condensation of 2-amino-3,5-dibromopyrazine (I) with ethyl 3-bromopyruvate (II). Subsequent treatment of ester (III) with aqueous ammonia produced the corresponding amide (IV). This was then dehydrated with phosphoryl chloride, with concomitant displacement of the 8-bromine for a chloro group, to yield nitrile (V). Finally, substitution of the chloride by methyl amine in (V) furnished the target compound.

Drug Information Express,Drug R&D,Chemical Database,Patent Search.
Copyright © 2006-2026 Drug Future. All rights reserved.Contact Us