【药物名称】S-21407, EGIS-7229(fumarate salt), GYKI-16306
化学结构式(Chemical Structure):
参考文献No.475562
标题:A new synthesis of EGIS-7229, a potent antiarrhythmic drug-candidate
作者:K髏ay-Nagy, P.; et al.
来源:15th European Federation for Medicinal Chemistry International Symposium on Medicinal Chemistry (Sept 6 1998, Edinburgh) 1998,Abst P.151
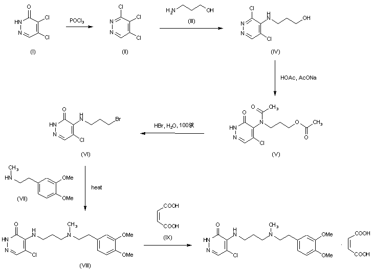
合成路线图解说明:

Pyridazinone (I) was converted to 3,4,5-trichloropyridazine (VIII) on treatment with POCl3. Nucleophylic substitution in (II) with 3-aminopropanol (III) gave, after crystallization, the desired isomer (IV). Hydrolysis of the 3-chloro group of (IV) was carried out with AcOH and AcONa, resulting in the N,O-diacetyl derivative (V). Subsequent reaction of (V) with aqueous HBr provided bromide (VI), which was then treated with N-methyl homoveratrylamine (VII) to furnish the target compound (VIII). This compound was finally isolated as the fumarate salt on treatment with fumaric acid in EtOH (1).

Drug Information Express,Drug R&D,Chemical Database,Patent Search.
Copyright © 2006-2026 Drug Future. All rights reserved.Contact Us