【药物名称】Abiraterone, CB-7598
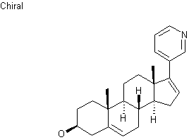
化学结构式(Chemical Structure):
参考文献No.343532
标题:Novel steroidal inhibitors of human cytochrome P450(17alpha) (17alpha-hydroxylase-C17,20-lyase): Potential agents for the treatment of prostatic cancer
作者:Potter, G.A.; Barrie, S.E.; Jarman, M.; Rowlands, M.G.
来源:J Med Chem 1995,38(13),2463
合成路线图解说明:

Treatment of dehydroepiandrosterone 3-acetate (I) with triflic anhydride and 2,6-di-tert-butyl-4-methylpyridine provided the desired enol triflate (III) along with some 3,5-diene (II), which were separated by column chromatography. Subsequent coupling of triflate (III) with pyridylborane (IV) using bis(triphenylphosphine)- palladium(II) chloride as the catalyst afforded the (3-pyridyl)androstadiene (V), which after hydrolysis of the acetate ester with NaOH provided the target compound.

Drug Information Express,Drug R&D,Chemical Database,Patent Search.
Copyright © 2006-2026 Drug Future. All rights reserved.Contact Us