【药物名称】Ifetroban sodium, BMS-180291-02, BMS-180291 sodium salt
化学结构式(Chemical Structure):
参考文献No.236186
标题:Ifetroban Sodium < USAN >
作者:Misra, R.N.; White, R.E.; Ogletree, M.L.
来源:Drugs Fut 1994,19(2),107
合成路线图解说明:

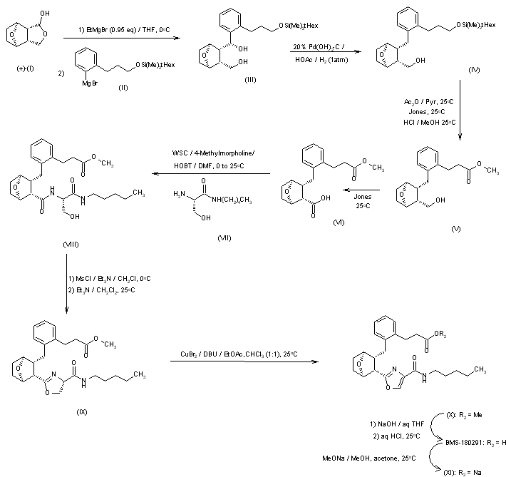
BMS-180291 sodium salt was prepared from optically active 7-oxabicyclo[2.2.1]heptane lactol (I): The interphenylene side chain was introduced by deprotonation of (I) with ethylmagnesium bromide (0.95 eq.) followed by treatment with excess aryl Grignard (II) to afford crystalline diol (III). The extraneous benzylic hydroxyl group in (III) was removed by reduction with hydrogen in the presence of Pearlman's catalyst to give alcohol (IV). Transformation of the alpha-side chain silyloxy carbinol of (IV) to a carboxymethyl ester was accomplished by initial protection of the omega-side chain alcohol as the acetate (Ac2O/py) followed by oxidation under Jones conditions and then exposure of the resulting crude acetate-acid to methanolic hydrogen chloride to afford crystalline alcohol-ester (V). Oxidation of (V) under Jones conditions furnished acid-ester (VI). The oxazole side chain was introduced into (VI) via serine-derived amino alcohol (VII). Standard coupling of acid (VI) with (VII) mediated by water-soluble carbodiimide (EDAC) gave amide (VIII). Acyclic side chain intermediate (VIII) was converted into oxazole (X) in three steps by mesylation followed by treatment with triethylamine to furnish cyclized oxazoline (IX). Dehydrogenation of (IX) employing a novel oxidative protocol (1) involving treatment with a mixture of copper (II) bromide and 1,8-diazabicyclo[5.4.0]undec-7-ene (DBU) in chloroform/ethyl acetate solvent yielded oxazole (X). Saponification of (X) followed by acidification afforded (BMS-180291) as a white solid which could be purified by recrystallization from acetonitrile. The water-soluble sodium salt (XI) was available as a precipitate from BMS-18091 by treatment with sodium methoxide/methanol in acetone.

合成路线图解说明:

The interphenylene side chain was introduced by deprotonation of (I) with ethylmagnesium bromide (0.95 eq.) followed by treatment with excess aryl Grignard (II) to afford crystalline diol (III). The extraneous benzylic hydroxyl group in (III) was removed by reduction with hydrogen in the presence of Pearlman's catalyst to give alcohol (IV). Transformation of the alpha-side chain silyloxy carbinol to a carboxy methyl ester was accomplished by initial protection of the omega-side chain alcohol as the acetate (Ac2O/pyr) followed by oxidation under Jones conditions and then exposure of the resulting crude acetate-acid to methanolic hydrogen chloride to afford crystalline alcohol-ester (V). Oxidation of (V) under Jones conditions furnished acid-ester (VI). The oxazole side chain was introduced into (VI) via serine-derived amino alcohol (VII). Standard coupling of acid (VI) with (VII) mediated by water-soluble carbodiimide (EDAC) gave amide (VIII). Acyclic side chain intermediate (VIII) was converted into oxazole (X) in three steps by mesylation followed by treatment with triethylamine to furnish cyclized oxazoline (IX). Dehydrogenation of (IX) employing a novel oxidative protocol involving treatment with a mixture of copper (II) bromide and 1,8-diazabicyclo[5.4.0]undec-7-ene (DBU) in chloroform/ethyl acetate solvent yielded oxazole (X). Saponification of (X) followed by acidification afforded (XI) (BMS-180291) as a white solid which could be purified by recrystallization from acetonitrile. The water-soluble sodium salt was available as a precipitate from (XI) by treatment with sodium methoxide/methanol in acetone.

参考文献No.562881
标题:Diastereoselective reaction of a grignard reagent with chiral imides: A practical preparation of a key intermediate in the synthesis of ifetroban sodium
作者:Mueller, R.H.; et al.
来源:Org Process Res Dev 1997,1(1),14
合成路线图解说明:

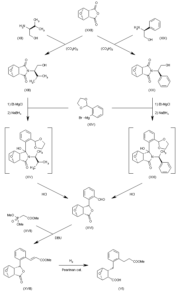
The synthesis of [1S-(1alpha,2alpha,3alpha,4alpha)]-2-[2-[2-(methoxycarbonyl)ethyl]benzyl]-7-oxabicyclo[2.2.1]heptane-3-carboxylic acid (VI), a key intermediate in the synthesis of 203961 [see scheme 20396101a] has been presented: This compound has been obtained by two similar ways: 1) The condensation of L-valinol (XII) with anhydride (XXII) catalyzed by oxalic acid gives imide (XIII), which is treated with ethylmagnesium chloride, the Grignard reagent (XIV) and NaBH4 yielding intermediate (XV). This intermediate, without isolation, is treated with HCl in THF to afford the substituted benzaldehyde (XVI), which is condensed with trimethyl phosphonoacetate (XVII) and DBU in acetonitrile giving the propenoic ester (XVIII). Finally, this compound is submitted to a simultaneous reduction and hydrogenolysis with H2 over a Pearlman catalyst in methanol to provide the target of [1S-(1alpha,2alpha,3alpha,4alpha)]-2-[2-[2-(methoxycarbonyl)ethyl]benzyl]-7-oxabicyclo[2.2.1]heptane-3-carboxylic acid (VI). 2) The preceding reaction sequence can also be performed using (S)-2-phenylglycinol (XIX) instead of the L-valinol (XII) yielding the previously reported benzaldehyde (XVI) through the imide (XX) and the nonisolated intermediate (XXI).

参考文献No.800122
标题:Cupric bromide mediated oxidation of 4-carboxyoxazolines to the corresponding oxazoles
作者:Han, W.-C.; Kronenthal, D.R.; Kissick, T.P.; Spergel, S.H.; Mueller, R.H.; Singh, J.; Barrish, J.C.
来源:J Org Chem 1993,584494-96
合成路线图解说明:

The interphenylene side chain was introduced by deprotonation of (I) with ethylmagnesium bromide (0.95 eq.) followed by treatment with excess aryl Grignard (II) to afford crystalline diol (III). The extraneous benzylic hydroxyl group in (III) was removed by reduction with hydrogen in the presence of Pearlman's catalyst to give alcohol (IV). Transformation of the alpha-side chain silyloxy carbinol to a carboxy methyl ester was accomplished by initial protection of the omega-side chain alcohol as the acetate (Ac2O/pyr) followed by oxidation under Jones conditions and then exposure of the resulting crude acetate-acid to methanolic hydrogen chloride to afford crystalline alcohol-ester (V). Oxidation of (V) under Jones conditions furnished acid-ester (VI). The oxazole side chain was introduced into (VI) via serine-derived amino alcohol (VII). Standard coupling of acid (VI) with (VII) mediated by water-soluble carbodiimide (EDAC) gave amide (VIII). Acyclic side chain intermediate (VIII) was converted into oxazole (X) in three steps by mesylation followed by treatment with triethylamine to furnish cyclized oxazoline (IX). Dehydrogenation of (IX) employing a novel oxidative protocol involving treatment with a mixture of copper (II) bromide and 1,8-diazabicyclo[5.4.0]undec-7-ene (DBU) in chloroform/ethyl acetate solvent yielded oxazole (X). Saponification of (X) followed by acidification afforded (XI) (BMS-180291) as a white solid which could be purified by recrystallization from acetonitrile. The water-soluble sodium salt was available as a precipitate from (XI) by treatment with sodium methoxide/methanol in acetone.

Drug Information Express,Drug R&D,Chemical Database,Patent Search.
Copyright © 2006-2026 Drug Future. All rights reserved.Contact Us