【药物名称】Bosentan, Ro-47-0203/039, Ro-47-0203/029(monohydrate), Ro-47-0203, Tracleer
化学结构式(Chemical Structure):
参考文献No.19938
标题:Sulfonamide, preparation and use thereof as medicine and intermediate
作者:Burri, K.; Clozel, M.; Fischli, W.; Hirth, G.; L鰂fler, B.-M.; Ramuz, H.; Neidhart, W. (F. Hoffmann-La Roche AG)
来源:EP 0526708; JP 1993222003; US 4292740
合成路线图解说明:

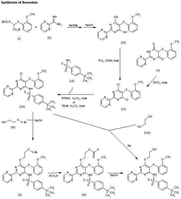
The condensation of diethyl (2-methoxyphenoxy)malonate (I) with pyrimidine-2-carboxamidine (II) by means of NaOMe (Na in MeOH), followed by treatment with NaOH, provides the dihydroxy pyrimidine derivative (III), which is converted into the dichloro derivative (IV) by treatment with refluxing PCl5 and DIEA. Compound (IV) can also be obtained from the pyrimidinedione (V) by reaction with phosphorus oxychloride at 90 C. Reaction of compound (IV) with 4-tert-butylbenzenesulfonamide (VI), performed either directly in DMSO or by means of benzyltriethylammonium chloride (BTEAC) or tetrabutylammonium bromide (TBAB) and K2CO3 in refluxing toluene, gives compound (VII). Finally, this compound is converted into bosentan by reaction with sodium and ethylene glycol (VIII). Alternatively, the conversion of compound (VII) into bosentan can also be performed by reaction of compound (VII) with ethylene glycol mono tert-butyl ether (IX) by means of NaOH in toluene, yielding the tert-butyl ether derivative (X), which is then treated with formic acid at 85-90 C in toluene to give the 2-(formyloxy)ethoxy derivative (XI). Finally, the formyl group is removed by treatment of (XI) with NaOH in H2O.

参考文献No.52698
标题:Preparation of sulfonamides
作者:Dehoff, B.S.; Harrington, P.J.; Khatri, H.N. (Roche Colorado Corp.)
来源:US 6136971
合成路线图解说明:

The condensation of diethyl (2-methoxyphenoxy)malonate (I) with pyrimidine-2-carboxamidine (II) by means of NaOMe (Na in MeOH), followed by treatment with NaOH, provides the dihydroxy pyrimidine derivative (III), which is converted into the dichloro derivative (IV) by treatment with refluxing PCl5 and DIEA. Compound (IV) can also be obtained from the pyrimidinedione (V) by reaction with phosphorus oxychloride at 90 C. Reaction of compound (IV) with 4-tert-butylbenzenesulfonamide (VI), performed either directly in DMSO or by means of benzyltriethylammonium chloride (BTEAC) or tetrabutylammonium bromide (TBAB) and K2CO3 in refluxing toluene, gives compound (VII). Finally, this compound is converted into bosentan by reaction with sodium and ethylene glycol (VIII). Alternatively, the conversion of compound (VII) into bosentan can also be performed by reaction of compound (VII) with ethylene glycol mono tert-butyl ether (IX) by means of NaOH in toluene, yielding the tert-butyl ether derivative (X), which is then treated with formic acid at 85-90 C in toluene to give the 2-(formyloxy)ethoxy derivative (XI). Finally, the formyl group is removed by treatment of (XI) with NaOH in H2O.

参考文献No.52803
标题:Preparation of sulfonamides
作者:Harrington, P.J.; Dehoff, B.S.; Khatri, H.N. (F. Hoffmann-La Roche AG)
来源:WO 0155120
合成路线图解说明:

The condensation of diethyl (2-methoxyphenoxy)malonate (I) with pyrimidine-2-carboxamidine (II) by means of NaOMe (Na in MeOH), followed by treatment with NaOH, provides the dihydroxy pyrimidine derivative (III), which is converted into the dichloro derivative (IV) by treatment with refluxing PCl5 and DIEA. Compound (IV) can also be obtained from the pyrimidinedione (V) by reaction with phosphorus oxychloride at 90 C. Reaction of compound (IV) with 4-tert-butylbenzenesulfonamide (VI), performed either directly in DMSO or by means of benzyltriethylammonium chloride (BTEAC) or tetrabutylammonium bromide (TBAB) and K2CO3 in refluxing toluene, gives compound (VII). Finally, this compound is converted into bosentan by reaction with sodium and ethylene glycol (VIII). Alternatively, the conversion of compound (VII) into bosentan can also be performed by reaction of compound (VII) with ethylene glycol mono tert-butyl ether (IX) by means of NaOH in toluene, yielding the tert-butyl ether derivative (X), which is then treated with formic acid at 85-90 C in toluene to give the 2-(formyloxy)ethoxy derivative (XI). Finally, the formyl group is removed by treatment of (XI) with NaOH in H2O.

参考文献No.646027
标题:Bosentan
作者:Mealy, N.E.; del Fresno, M.; Bay鑣, M.
来源:Drugs Fut 2001,26(12),1149
合成路线图解说明:

The condensation of diethyl (2-methoxyphenoxy)malonate (I) with pyrimidine-2-carboxamidine (II) by means of NaOMe (Na in MeOH), followed by treatment with NaOH, provides the dihydroxy pyrimidine derivative (III), which is converted into the dichloro derivative (IV) by treatment with refluxing PCl5 and DIEA. Compound (IV) can also be obtained from the pyrimidinedione (V) by reaction with phosphorus oxychloride at 90 C. Reaction of compound (IV) with 4-tert-butylbenzenesulfonamide (VI), performed either directly in DMSO or by means of benzyltriethylammonium chloride (BTEAC) or tetrabutylammonium bromide (TBAB) and K2CO3 in refluxing toluene, gives compound (VII). Finally, this compound is converted into bosentan by reaction with sodium and ethylene glycol (VIII). Alternatively, the conversion of compound (VII) into bosentan can also be performed by reaction of compound (VII) with ethylene glycol mono tert-butyl ether (IX) by means of NaOH in toluene, yielding the tert-butyl ether derivative (X), which is then treated with formic acid at 85-90 C in toluene to give the 2-(formyloxy)ethoxy derivative (XI). Finally, the formyl group is removed by treatment of (XI) with NaOH in H2O.

参考文献No.671941
标题:Research and development of a second-generation process for bosentan, and endothelin receptor antagonist
作者:Harrington, P.J.; Khatri, H.N.; DeHoff, B.S.; Guinn, M.R.; Boehler, M.A.; Glaser, K.A.
来源:Org. Proc. Res. & Develop. 2002,6(2),120
合成路线图解说明:

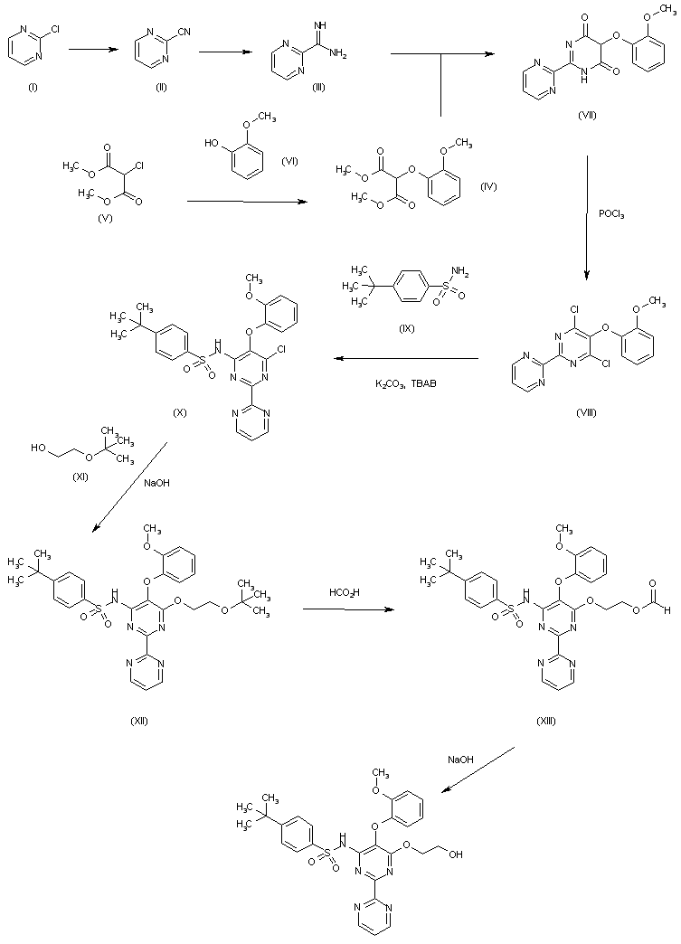
The conversion of 2-chloropyrimidine (I) to pyrimidine-2-carboxamidine (III) is performed by known methods through the intermediate pyrimidine-2-carbonitrile (II). The cyclization of (III) with 2-(2-methoxyphenoxy)malonic acid diethyl ester (IV) -prepared by condensation of 2-chloromalonic acid diethyl ester (V) with guaiacol (VI)- yields the bipyrimidinedione (VII). This compound is treated with refluxing POCl3 to afford the dichlorobipyrimidine (VIII). The chlorine monosubstitution in (VIII) with 4-tert-butylphenylsulfonamide (IX), K2CO3 and tetrabutylammonium bromide (TBAB) in toluene provides the substituted sulfonamide (X), which is submitted to a second chlorine substitution with ethyleneglycol mono-tert-butyl ether (XI) by means of NaOH in hot toluene to give the tert-butyl-intermediate (XII). Finally, this compound is deprotected by reaction with formic acid yielding the formate ester (XIII), which is hydrolyzed with NaOH in ethanol/water, and submitted to crystallization in refluxing ethanol/water to afford the target bosentan.

Drug Information Express,Drug R&D,Chemical Database,Patent Search.
Copyright © 2006-2026 Drug Future. All rights reserved.Contact Us