【药物名称】Atiprimod hydrochloride, SK&F-106615-I2(dimaleate), SK&F-106615-A2
化学结构式(Chemical Structure):
参考文献No.10104
标题:Immunomodulatory azaspiranes
作者:Badger, A.M.; Dimartino, M.J.; Mirabelli, C.K.; Cheeseman, E.N.; Dorman, J.W.; Picker, D.H.; Schwartz, D.A. (SmithKline Beecham plc)
来源:AU 8825333; EP 0310321; JP 1991500290; US 4963557; WO 8902889
合成路线图解说明:

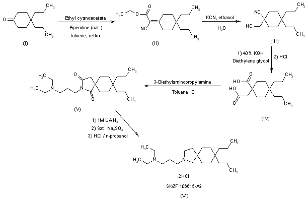
Piperidine-catalyzed condensation of ethyl cyanoacetate with (I) (1) afforded cyanoester (II). Michael addition of KCN to (II) gave dinitrile (III), which was hydrolyzed under basic conditions to afford diacid (IV). Condensation of (IV) with N,N-diethylaminopropylamine afforded the desired imide (V). Reduction of (V) with lithium aluminum hydride gave the required diamine which was treated with aqueous HCl/n-propanol to yield the diamine as the dihydrochloride salt, SK&F 106615-A2 (VI).

参考文献No.311577
标题:SK&F-106615
作者:Wright, C.S.; Bagder, A.
来源:Drugs Fut 1995,20(9),893
合成路线图解说明:

Piperidine-catalyzed condensation of ethyl cyanoacetate with (I) (1) afforded cyanoester (II). Michael addition of KCN to (II) gave dinitrile (III), which was hydrolyzed under basic conditions to afford diacid (IV). Condensation of (IV) with N,N-diethylaminopropylamine afforded the desired imide (V). Reduction of (V) with lithium aluminum hydride gave the required diamine which was treated with aqueous HCl/n-propanol to yield the diamine as the dihydrochloride salt, SK&F 106615-A2 (VI).

Drug Information Express,Drug R&D,Chemical Database,Patent Search.
Copyright © 2006-2026 Drug Future. All rights reserved.Contact Us