【药物名称】Asimadoline, EMR-63320, EMD-61753
化学结构式(Chemical Structure):
参考文献No.40976
标题:Method for producing enantiomer-free N-methyl-N-[(1S)-1-phenyl-2-((3S)-3-hydroxypyrrolidine-1-yl)ethyl]-2,2-diphenyl acetamide
作者:Ackermann, K.-A.; Budak, J.; Bathe, A.; Gottschlich, R.; Helfert, B.; Stein, I. (Merck Patent GmbH)
来源:DE 19827633; WO 9954298
合成路线图解说明:

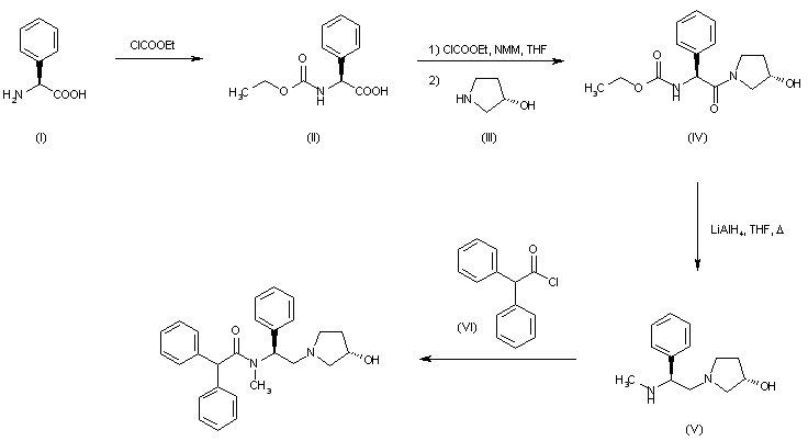
The condensation of (S)-phenylglycine (I) with ethyl chloroformate gave carbamate (II). After activation of (II) as the mixed anhydride with ethyl chloroformate in the presence of N-methylmorpholine, coupling with (S)-3-hydroxypyrrolidine (III) provided amide (IV). Reduction of both amide and carbamate groups of (IV) employing LiAlH4 in refluxing THF yielded diamine (V). This was finally condensed with diphenylacetyl chloride (VI) to furnish the title amide The condensation of (S)-phenylglycine (I) with ethyl chloroformate gave carbamate (II). After activation of (II) as the mixed anhydride with ethyl chloroformate in the presence of N-methylmorpholine, coupling with (S)-3-hydroxypyrrolidine (III) provided amide (IV). Reduction of both amide and carbamate groups of (IV) employing LiAlH4 in refluxing THF yielded diamine (V). This was finally condensed with diphenylacetyl chloride (VI) to furnish the title amide.

Drug Information Express,Drug R&D,Chemical Database,Patent Search.
Copyright © 2006-2026 Drug Future. All rights reserved.Contact Us