【药物名称】FR-20950
化学结构式(Chemical Structure):
参考文献No.22288
标题:Substd. 3-pyrrolidinylthio-carbapenems as antimicrobial agents
作者:Murata, M.; Tsutsumi, H.; Matsuda, K.; Hattori, K.; Nakajima, T. (Fujisawa Pharmaceutical Co., Ltd.)
来源:EP 0636133; JP 1995505650; WO 9321186
合成路线图解说明:

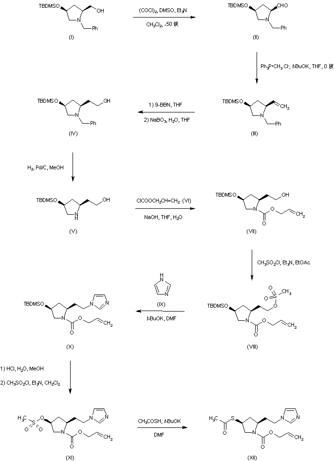
Swern oxidation of protected (hydroxymethyl)pyrrolidine (I), followed by Wittig condensation of the resulting aldehyde (II) with methylene triphenylphosphorane provided vinylpyrrolidine (III). Hydroboration of (III) with 9-borabicyclo[3.3.1]nonane and subsequent oxidative treatment with sodium perborate gave alcohol (IV). Interconversion of the N-benzyl protecting group for an allyloxycarbonyl group was achieved by catalytic hydrogenation and then treatment of the deprotected amine (V) with allyloxycarbonyl chloride (VI). Alcohol (VII) was activated as the corresponding mesylate (VIII), which was condensed with imidazole (IX) in the presence of t-BuOK to afford the N-alkylated imidazole (X). Acid deprotection of the silyl ether of (X) yielded the corresponding secondary alcohol, which was further converted to mesylate (XI). Subsequent displacement in (XI) by potassium thioacetate furnished the thioacetate ester (XII).

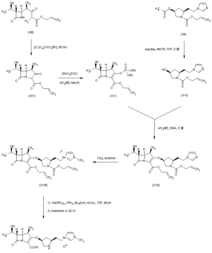
合成路线图解说明:

Cyclization of diazo azetidinone (XIII) by means rhodium(II) octanoate dimer produced the azabicyclo ketone (XIV), which was converted to the phosphorylated carbapenem (XV) employing diphenylphosphorochloridate. Hydrolysis of the thioacetate ester (XII) with NaOMe gave the intermediate thiol (XVI), which was condensed with phosphate (XV) to yield the (pyrrolidinylthio)carbapenem (XVII). Quaternization of the imidazole nucleus of (XVII) with methyl iodide afforded imidazolium salt (XVIII). Then, both allyl ester and allyloxycarbonyl groups of (XVIII) were deprotected using tributyltin hydride and a palladium catalyst. Finally, the iodide salt was exchanged for the corresponding chloride employing an ion exchange resin.

参考文献No.546936
标题:Synthesis and antibacterial activity of novel 4-pyrrolidinylthio carbapenems. Part III: Novel 2-alkyl substituents containing cationic heteroaromatics linked via a C-N bond
作者:Azami, H.; Barrett, D.; Matsuda, K.; Tsutsumi, H.; Washizuka, K.; Sakurai, M.; Kuroda, S.; Shirai, F.; Chiba, T.; Kamimura, T.; Murata, M.
来源:Bioorg Med Chem 1999,7(8),1665
合成路线图解说明:

Swern oxidation of protected (hydroxymethyl)pyrrolidine (I), followed by Wittig condensation of the resulting aldehyde (II) with methylene triphenylphosphorane provided vinylpyrrolidine (III). Hydroboration of (III) with 9-borabicyclo[3.3.1]nonane and subsequent oxidative treatment with sodium perborate gave alcohol (IV). Interconversion of the N-benzyl protecting group for an allyloxycarbonyl group was achieved by catalytic hydrogenation and then treatment of the deprotected amine (V) with allyloxycarbonyl chloride (VI). Alcohol (VII) was activated as the corresponding mesylate (VIII), which was condensed with imidazole (IX) in the presence of t-BuOK to afford the N-alkylated imidazole (X). Acid deprotection of the silyl ether of (X) yielded the corresponding secondary alcohol, which was further converted to mesylate (XI). Subsequent displacement in (XI) by potassium thioacetate furnished the thioacetate ester (XII).

合成路线图解说明:

Cyclization of diazo azetidinone (XIII) by means rhodium(II) octanoate dimer produced the azabicyclo ketone (XIV), which was converted to the phosphorylated carbapenem (XV) employing diphenylphosphorochloridate. Hydrolysis of the thioacetate ester (XII) with NaOMe gave the intermediate thiol (XVI), which was condensed with phosphate (XV) to yield the (pyrrolidinylthio)carbapenem (XVII). Quaternization of the imidazole nucleus of (XVII) with methyl iodide afforded imidazolium salt (XVIII). Then, both allyl ester and allyloxycarbonyl groups of (XVIII) were deprotected using tributyltin hydride and a palladium catalyst. Finally, the iodide salt was exchanged for the corresponding chloride employing an ion exchange resin.

Drug Information Express,Drug R&D,Chemical Database,Patent Search.
Copyright © 2006-2026 Drug Future. All rights reserved.Contact Us