【药物名称】RU-58668
化学结构式(Chemical Structure):
参考文献No.21716
标题:Novel 19-nor steroids having a thiocarbon-containing chain in the 11beta position, a method for preparing same and intermediates therefor, medicinal uses thereof and compsns. containing said steroids
作者:Claussner, A.; Nique, F.; Teutsch, J.-G.; Van De Velde, P. (Aventis Pharma SA)
来源:EP 0623140; JP 1995502281; WO 9313123
合成路线图解说明:

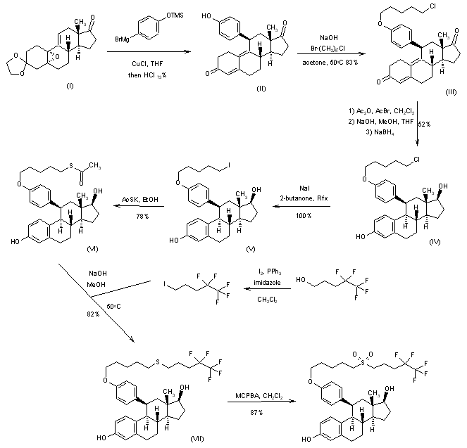
RU 58668 can be prepared according to the multistep synthesis described in Scheme 20326301a. It starts with the copper(I) catalyzed regiospecific addition of the Grignard reagent derived from 4-bromophenol, protected as its trimethylsilyl ether, on the 5alpha,10alpha-epoxyestr-9(11)-ene-3,17-dione 3-(1,2-ethanediyl) cyclic acetal (I). The acidic treatment of the crude 11beta-aryl-5alpha-hydroxyestr-9-ene-3,17-dione cyclic acetal thus produced yielded the 11beta-(4-hydroxyphenyl)estradienedione (II), by simultaneous desilylation, deketalization of the 3-keto group and dehydration. Alkylation of the phenolic hydroxyl group was performed using 1-bromo-5-chloropentane, with aqueous sodium hydroxide in acetone yielding (III). The A-ring of the chloropentyl ether (III), was aromatized by treatment with a mixture of acetyl bromide and acetic anhydride in dichloromethane. The phenolic acetate obtained was immediately submitted to saponification followed by reduction of the 17-keto group with sodium borohydride, leading to the formation of the crystalline chlorinated estradiol derivative (IV). Halogen exchange with sodium iodide gave rise to the formation of the iodo derivative (V). The sulfur atom was introduced by substitution with potassium thioacetate, to produce the thioester (VI). Saponification of the acetate generated the sodium thiolate, which was immediately alkylated with 5-iodo-1,1,1,2,2-pentafluoropentane (obtained through the iodination of the corresponding pentafluoropentanol), yielding the sulfide (VII). Oxidation of the latter compound followed by chromatography and recrystallization afforded pure RU 58668.

参考文献No.275229
标题:RU 58668, a new pure antiestrogen inducing a regression of human mammary carcinoma implanted in nude mice
作者:Van De Velde, P.; Nique, F.; Bouchoux, F.; Br閙aud, J.; Hameau, M.-C.; Lucas, D.; Moratille, C.; Viet, S.; Philibert, D.; Teutsch, G.
来源:J Steroid Biochem Mol Biol 1994,48(2/3),187-96
合成路线图解说明:

RU 58668 can be prepared according to the multistep synthesis described in Scheme 20326301a. It starts with the copper(I) catalyzed regiospecific addition of the Grignard reagent derived from 4-bromophenol, protected as its trimethylsilyl ether, on the 5alpha,10alpha-epoxyestr-9(11)-ene-3,17-dione 3-(1,2-ethanediyl) cyclic acetal (I). The acidic treatment of the crude 11beta-aryl-5alpha-hydroxyestr-9-ene-3,17-dione cyclic acetal thus produced yielded the 11beta-(4-hydroxyphenyl)estradienedione (II), by simultaneous desilylation, deketalization of the 3-keto group and dehydration. Alkylation of the phenolic hydroxyl group was performed using 1-bromo-5-chloropentane, with aqueous sodium hydroxide in acetone yielding (III). The A-ring of the chloropentyl ether (III), was aromatized by treatment with a mixture of acetyl bromide and acetic anhydride in dichloromethane. The phenolic acetate obtained was immediately submitted to saponification followed by reduction of the 17-keto group with sodium borohydride, leading to the formation of the crystalline chlorinated estradiol derivative (IV). Halogen exchange with sodium iodide gave rise to the formation of the iodo derivative (V). The sulfur atom was introduced by substitution with potassium thioacetate, to produce the thioester (VI). Saponification of the acetate generated the sodium thiolate, which was immediately alkylated with 5-iodo-1,1,1,2,2-pentafluoropentane (obtained through the iodination of the corresponding pentafluoropentanol), yielding the sulfide (VII). Oxidation of the latter compound followed by chromatography and recrystallization afforded pure RU 58668.

参考文献No.291119
标题:RU 58668
作者:Van de Velde, P.; Nique, F.
来源:Drugs Fut 1995,20(4),362
合成路线图解说明:

RU 58668 can be prepared according to the multistep synthesis described in Scheme 20326301a. It starts with the copper(I) catalyzed regiospecific addition of the Grignard reagent derived from 4-bromophenol, protected as its trimethylsilyl ether, on the 5alpha,10alpha-epoxyestr-9(11)-ene-3,17-dione 3-(1,2-ethanediyl) cyclic acetal (I). The acidic treatment of the crude 11beta-aryl-5alpha-hydroxyestr-9-ene-3,17-dione cyclic acetal thus produced yielded the 11beta-(4-hydroxyphenyl)estradienedione (II), by simultaneous desilylation, deketalization of the 3-keto group and dehydration. Alkylation of the phenolic hydroxyl group was performed using 1-bromo-5-chloropentane, with aqueous sodium hydroxide in acetone yielding (III). The A-ring of the chloropentyl ether (III), was aromatized by treatment with a mixture of acetyl bromide and acetic anhydride in dichloromethane. The phenolic acetate obtained was immediately submitted to saponification followed by reduction of the 17-keto group with sodium borohydride, leading to the formation of the crystalline chlorinated estradiol derivative (IV). Halogen exchange with sodium iodide gave rise to the formation of the iodo derivative (V). The sulfur atom was introduced by substitution with potassium thioacetate, to produce the thioester (VI). Saponification of the acetate generated the sodium thiolate, which was immediately alkylated with 5-iodo-1,1,1,2,2-pentafluoropentane (obtained through the iodination of the corresponding pentafluoropentanol), yielding the sulfide (VII). Oxidation of the latter compound followed by chromatography and recrystallization afforded pure RU 58668.

参考文献No.302045
标题:11beta-Amidoalkoxyphenyl estradiols, a new series of pure antiestrogens
作者:Nique, F.; Van De Velde, P.; Br閙aud, J.; Hardy, M.; Philibert, D.; Teutsch, G.
来源:J Steroid Biochem Mol Biol 1994,5021-9
合成路线图解说明:

RU 58668 can be prepared according to the multistep synthesis described in Scheme 20326301a. It starts with the copper(I) catalyzed regiospecific addition of the Grignard reagent derived from 4-bromophenol, protected as its trimethylsilyl ether, on the 5alpha,10alpha-epoxyestr-9(11)-ene-3,17-dione 3-(1,2-ethanediyl) cyclic acetal (I). The acidic treatment of the crude 11beta-aryl-5alpha-hydroxyestr-9-ene-3,17-dione cyclic acetal thus produced yielded the 11beta-(4-hydroxyphenyl)estradienedione (II), by simultaneous desilylation, deketalization of the 3-keto group and dehydration. Alkylation of the phenolic hydroxyl group was performed using 1-bromo-5-chloropentane, with aqueous sodium hydroxide in acetone yielding (III). The A-ring of the chloropentyl ether (III), was aromatized by treatment with a mixture of acetyl bromide and acetic anhydride in dichloromethane. The phenolic acetate obtained was immediately submitted to saponification followed by reduction of the 17-keto group with sodium borohydride, leading to the formation of the crystalline chlorinated estradiol derivative (IV). Halogen exchange with sodium iodide gave rise to the formation of the iodo derivative (V). The sulfur atom was introduced by substitution with potassium thioacetate, to produce the thioester (VI). Saponification of the acetate generated the sodium thiolate, which was immediately alkylated with 5-iodo-1,1,1,2,2-pentafluoropentane (obtained through the iodination of the corresponding pentafluoropentanol), yielding the sulfide (VII). Oxidation of the latter compound followed by chromatography and recrystallization afforded pure RU 58668.

Drug Information Express,Drug R&D,Chemical Database,Patent Search.
Copyright © 2006-2026 Drug Future. All rights reserved.Contact Us