【药物名称】TAK-187
化学结构式(Chemical Structure):
参考文献No.22207
标题:Azole cpds., their production and use
作者:Itoh, K.; Okonogi, K.; Tamura, N. (Takeda Chemical Industries, Ltd.)
来源:EP 0567982; US 5371101
合成路线图解说明:

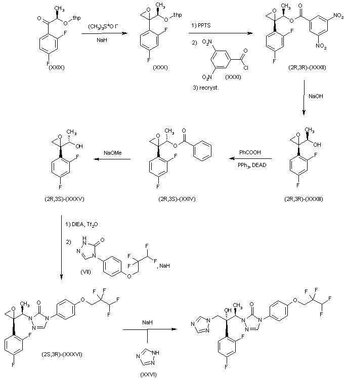
Alternatively, derivative (XXIX) can be obtained in an analogous way as its enantiomer (XIX). Diastereoselective epoxidation of (XXIX) with trimethylsulfoxonium iodide and NaH in DMSO provides oxirane (XXX) (3). THP group removal by means of PPTS in EtOH, followed by reaction with 3,5-dinitrobenzoyl chloride (XXXI) and NaHCO3 in CH2Cl2, yields a diastereomeric mixture from which dinitrobenzoate derivative (2R,3R)-(XXXII) is obtained by recrystallization (1). Hydrolysis of (2R,3R)-(XXXII) in MeOH by treatment with aqueous NaOH gives compound (2R,3R)-(XXXIII), which is converted into ester (2R,3S)-(XXXIV) by Mitsunobu reaction with benzoic acid, Ph3P and DEAD in THF. Subsequent debenzoylation of (2R,3S)-(XXXIV) with NaOMe in MeOH affords oxiranyl ethanol derivative (2R,3R)-(XXXV), which is first converted into its triflate derivative by means of Tf2O and DIEA in CH2Cl2, and then into triazolone derivative (2S,3R)-(XXXVI) by reaction with intermediate (VII) and NaH in CH2Cl2/DMF. Finally, oxirane derivative (2S,3R)-(XXXVI) reacts with triazole (XXVI) and NaH in DMF to furnish the desired product.

参考文献No.27191
标题:Optically active azole derivs., their production and use
作者:Itoh, K.; Tasaka, A.; Matsushita, Y. (Takeda Chemical Industries, Ltd.)
来源:CA 2134417; EP 0659751; JP 1995228574
合成路线图解说明:

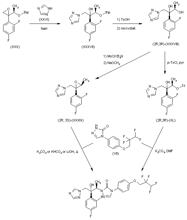
Alternatively, oxirane derivative (XXX) reacts with 1H-1,2,4-triazole (XXVI) and NaH in DMF to yield butanol derivative (XXXVII), which is treated with p-TsOH for THP removal followed by recrystallization to obtain diastereomer (2R,3R)-(XXXVIII). Conversion of (2R,3R)-(XXXVIII) into the corresponding mesylate derivative by means of MsCl and Et3N in AcOEt, followed by treatment with NaOMe in MeOH, gives oxirane (2R,3S)-(XXXIX), which is finally condensed with (VII) by means of K2CO3 or KHCO3 or LiOH in DMF. Alternatively, (2R,3R)-(XXXVIII) can be converted into p-toluenesulfonyloxy derivative (2R,3R)-(XL) (or, alternatively, its mesylate derivative), which is finally condensed with (VII) and K2CO3 in DMF.

参考文献No.283692
标题:Optically active antifungal azoles. I. Synthesis and antifungal activity of (2R,3R)-2-(2,4-difluorophenyl)-3-mercapto-1-(1H-1,2,4-triazol-1-yl)-2-butanol and stereoisomers
作者:Tasaka, A.; Tamura, N.; Matsushita, Y.; Teranishi, K.; Hayashi, R.; Okonogi, K.; Itoh, K.
来源:Chem Pharm Bull 1993,41(6),1035-42
合成路线图解说明:

Alternatively, intermediate (XIII) can be obtained as follows: Heating of ethyl (S)-lactate (XIV) with morpholine affords amide (XVI), which then reacts with 3,4-dihydro-2H-pyran (A) in the presence of p-TsOH to give protected derivative (XVII). Grignard reaction between (XVII), bromo derivative (XVIII) and Mg turnings in THF yields protected ketone (XIX), which is treated with pyridinium p-toluenesulfonate (PPTS) (THP group removal) and reprotected by means of Tf2O and DIEA to give triflate derivative (XX). Conversion of (XX) into intermediate (XIII) is achieved by reaction with triazolone (VII) and NaH in THF.

合成路线图解说明:

Alternatively, derivative (XXIX) can be obtained in an analogous way as its enantiomer (XIX). Diastereoselective epoxidation of (XXIX) with trimethylsulfoxonium iodide and NaH in DMSO provides oxirane (XXX) (3). THP group removal by means of PPTS in EtOH, followed by reaction with 3,5-dinitrobenzoyl chloride (XXXI) and NaHCO3 in CH2Cl2, yields a diastereomeric mixture from which dinitrobenzoate derivative (2R,3R)-(XXXII) is obtained by recrystallization (1). Hydrolysis of (2R,3R)-(XXXII) in MeOH by treatment with aqueous NaOH gives compound (2R,3R)-(XXXIII), which is converted into ester (2R,3S)-(XXXIV) by Mitsunobu reaction with benzoic acid, Ph3P and DEAD in THF. Subsequent debenzoylation of (2R,3S)-(XXXIV) with NaOMe in MeOH affords oxiranyl ethanol derivative (2R,3R)-(XXXV), which is first converted into its triflate derivative by means of Tf2O and DIEA in CH2Cl2, and then into triazolone derivative (2S,3R)-(XXXVI) by reaction with intermediate (VII) and NaH in CH2Cl2/DMF. Finally, oxirane derivative (2S,3R)-(XXXVI) reacts with triazole (XXVI) and NaH in DMF to furnish the desired product.

合成路线图解说明:

ER-30346 is synthesized by thiazole ring formation of (2R,3R)-3-(2,4-difluorophenyl)-3-hydroxy-2-methyl-4-(1H-1,2,4-triazol-1-yl)thiobutanamide (I) and 4-bromoacetylbenzonitrile (II) by means of reflux in methanol. The thioamide (I) is obtained with excellent yield from a chiral nitrile (III) by heating with diethyl dithiophosphate in aqueous medium.

合成路线图解说明:

The nitrile (III), a chiral key intermediate of this synthesis, can be obtained by two different synthetic routes as follows: Route-a: The key step of this route is ring opening reaction of the trisubstituted oxirane (VII) by cyanide anion leading to the nitrile (III). The chiral oxirane (VII) is synthesized from (R)-lactic acid derivatives as already reported. The reaction of (VII) with diethylaluminum cyanide in toluene or lithium cyanide in tetrahydrofuran gives the nitrile (III) with high yield without any epimerization reaction.

合成路线图解说明:

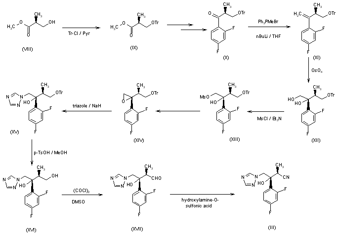
The nitrile (III), a chiral key intermediate of this synthesis, can be obtained by two different synthetic routes as follows: Route-b: The starting material of this route is methyl (S)-3-hydroxy-2-methylpropionate (VIII), which contains one additional carbon between the hydroxyl group and the 2-position carbon of (R)-lactate, the starting material of route-a. The hydroxyl group of (VIII) is protected by triphenylmethyl group. Then, 2,4-difluorophenyl moiety is introduced to give the ketone (X). Direct conversion of the ketone (X) to the oxirane (XIV) by dimethylsulfoxonium methylide, the same condition for compound (IV) in route-a, does not proceed. The oxirane (XIV) having desired stereochemistry is obtained via oxidation reaction. The ketone (X) is converted to the exomethylene (XI) by Wittig reaction. The stereoselective oxidation of (XI) is achieved by means of osmium tetroxide in the presence of 4-methylmorpholine N-oxide to give the diol (XII) in 58% yield after separation of its epimer by column chromatography. After methanesulfonylation of the primary alcohol of (XII), a triazole moiety is introduced and the triphenylmethyl group is deprotected. Then, the primary hydroxyl group of (XVI) is oxidized under Swern oxidation condition to give the aldehyde (XVII), which is converted to the chiral nitrile intermediate (III) by means of heating with hydroxylamine-O-sulfonic acid.

合成路线图解说明:

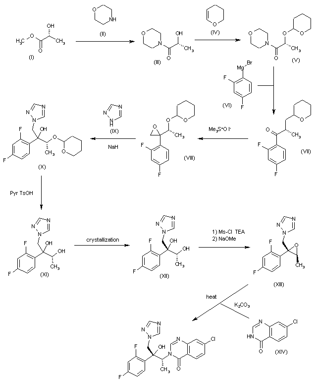
The condensation of (R)-lactic acid (I) with morpholine (II) gives the corresponding morpholide (III), which is protected at the hydroxyl position with dihydropyran (IV) to yield the tetrahydropyranyl ether (V). The Grignard reaction of (V) with 2,4-difluorophenylmagnesium bromide (VI) affords the chiral 1-propanone (VII), which by a Corey's diastereoselective epoxidation with trimethylsulfoxonium iodide is converted into the oxirane (VIII). The opening of the oxirane ring of (VIII) by means of 1,2,4-triazole (IX) and NaH provides the tertiary alcohol (X), which is treated with pyridine p-toluenesulfonate to give the deprotected diol (XI) as a (2R,3R) and (2R,3S) 4:1 diastereomeric mixture, from which the desired (2R,3R)-isomer (XII) was isolated by crystallization. The reaction of (XII) with Ms-Cl and TEA, followed by cyclization with NaOMe, yields the oxirane (XIII), which is finally condensed with 7-chloroquinazolin-4(3H)-one (XIV) by means of K2CO3 in hot NMP.

参考文献No.316950
标题:Optically active antifungal azoles. IV. Synthesis and antifungal activity of (2R,3R)-3-azolyl-2-(substituted phenyl)-1-(1H-1,2,4-triazol-1-yl)-2-butanols
作者:Tasaka, A.; Tamura, N.; Matsushita, Y.; Kitazaki, T.; Hayashi, R.; Okonogi, K.; Itoh, K.
来源:Chem Pharm Bull 1995,43(3),432
合成路线图解说明:

Alternatively, oxirane derivative (XXX) reacts with 1H-1,2,4-triazole (XXVI) and NaH in DMF to yield butanol derivative (XXXVII), which is treated with p-TsOH for THP removal followed by recrystallization to obtain diastereomer (2R,3R)-(XXXVIII). Conversion of (2R,3R)-(XXXVIII) into the corresponding mesylate derivative by means of MsCl and Et3N in AcOEt, followed by treatment with NaOMe in MeOH, gives oxirane (2R,3S)-(XXXIX), which is finally condensed with (VII) by means of K2CO3 or KHCO3 or LiOH in DMF. Alternatively, (2R,3R)-(XXXVIII) can be converted into p-toluenesulfonyloxy derivative (2R,3R)-(XL) (or, alternatively, its mesylate derivative), which is finally condensed with (VII) and K2CO3 in DMF.

参考文献No.525152
标题:Optically active antifungal azoles.VI. Synthesis and antifungal activity of N-[(1R,2R)-2-(2,4-difluorophenyl)-2-hydroxy-1-methyl-3-(1H-1,2,4-triazol-1-yl)propyl]-N'-(4-substituted phenyl)-3(2H,4H)-1,2,4-triazolones and 5(1H,4H)-tetrazolones
作者:Kitazaki, T.; Tamura, N.; Tasaka, A.; Matsushita, Y.; Hayashi, R.; Okonogi, K.; Itoh, K.
来源:Chem Pharm Bull 1996,44(2),314
合成路线图解说明:

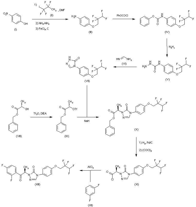
Treatment of 4-nitrophenol (I) with propyl iodide derivative (II) and K2CO3 in DMF, followed by reduction with hydrazine hydrate, FeCl3 and activated carbon affords (III). Conversion of aniline derivative (III) into phenylcarbamate (IV) by means of PhOCOCl and treatment of (IV) with hydrazine hydrate yields semicarbazide (V), which is then subjected to cyclization with formamidine (VI) to give triazolone derivative (VII). Benzyl (S)-lactate (VIII) is converted to triflate (IX) by means of Tf2O in the presence of DIEA and its reaction with triazolone (VII) and NaH in DMF provides derivative (X). Debenzylation of (X) by hydrogenolysis over Pd/C followed by treatment with oxalyl chloride in CH2Cl2/DMF furnishes chloride (XI), which reacts with 1,3-difluorobenzene (XII) in CH2Cl2 in the presence of AlCl3 to yield intermediate (XIII).

合成路线图解说明:

Alternatively, derivative (XXIX) can be obtained in an analogous way as its enantiomer (XIX). Diastereoselective epoxidation of (XXIX) with trimethylsulfoxonium iodide and NaH in DMSO provides oxirane (XXX) (3). THP group removal by means of PPTS in EtOH, followed by reaction with 3,5-dinitrobenzoyl chloride (XXXI) and NaHCO3 in CH2Cl2, yields a diastereomeric mixture from which dinitrobenzoate derivative (2R,3R)-(XXXII) is obtained by recrystallization (1). Hydrolysis of (2R,3R)-(XXXII) in MeOH by treatment with aqueous NaOH gives compound (2R,3R)-(XXXIII), which is converted into ester (2R,3S)-(XXXIV) by Mitsunobu reaction with benzoic acid, Ph3P and DEAD in THF. Subsequent debenzoylation of (2R,3S)-(XXXIV) with NaOMe in MeOH affords oxiranyl ethanol derivative (2R,3R)-(XXXV), which is first converted into its triflate derivative by means of Tf2O and DIEA in CH2Cl2, and then into triazolone derivative (2S,3R)-(XXXVI) by reaction with intermediate (VII) and NaH in CH2Cl2/DMF. Finally, oxirane derivative (2S,3R)-(XXXVI) reacts with triazole (XXVI) and NaH in DMF to furnish the desired product.

参考文献No.547583
标题:Optically active antifungal azoles. IX. An alternative synthetic route for 2-[(1R,2R)-2-(2,4-difluorophenyl)-2-hydroxy-1-methyl-3-(1H-1,2,4-triazol-1-yl)propyl]-4-[4-(2,2,3,3-tetrafluoropropoxy)phenyl]-3(2H,4H)-1,2,4-triazolone and its analogs
作者:Kitazaki, T.; Tasaka, A.; Hosono, H.; Matsushita, Y.; Itoh, K.
来源:Chem Pharm Bull 1999,47(3),360
合成路线图解说明:

Treatment of 4-nitrophenol (I) with propyl iodide derivative (II) and K2CO3 in DMF, followed by reduction with hydrazine hydrate, FeCl3 and activated carbon affords (III). Conversion of aniline derivative (III) into phenylcarbamate (IV) by means of PhOCOCl and treatment of (IV) with hydrazine hydrate yields semicarbazide (V), which is then subjected to cyclization with formamidine (VI) to give triazolone derivative (VII). Benzyl (S)-lactate (VIII) is converted to triflate (IX) by means of Tf2O in the presence of DIEA and its reaction with triazolone (VII) and NaH in DMF provides derivative (X). Debenzylation of (X) by hydrogenolysis over Pd/C followed by treatment with oxalyl chloride in CH2Cl2/DMF furnishes chloride (XI), which reacts with 1,3-difluorobenzene (XII) in CH2Cl2 in the presence of AlCl3 to yield intermediate (XIII).

合成路线图解说明:

Alternatively, intermediate (XIII) can be obtained as follows: Heating of ethyl (S)-lactate (XIV) with morpholine affords amide (XVI), which then reacts with 3,4-dihydro-2H-pyran (A) in the presence of p-TsOH to give protected derivative (XVII). Grignard reaction between (XVII), bromo derivative (XVIII) and Mg turnings in THF yields protected ketone (XIX), which is treated with pyridinium p-toluenesulfonate (PPTS) (THP group removal) and reprotected by means of Tf2O and DIEA to give triflate derivative (XX). Conversion of (XX) into intermediate (XIII) is achieved by reaction with triazolone (VII) and NaH in THF.

合成路线图解说明:

Compound (XIII) can follow two different routes for its conversion into the intermediate product (XXIV): i) Reaction of (XIII) with vinylmagnesium bromide (XXI) in THF provides vinyl derivative (XXII), which is then converted into aldehyde (XXIII) by ozonolysis, followed by addition of dimethylsulfide (DMS). Reduction of aldehyde (XXIII) by means of NaBH4 in MeOH affords alcohol (XXIV). Conversion of (XXII) into (XXIV) can also be achieved by first treatment with NaIO4 and OsO4 in MeOH/H2O followed by reduction with NaBH4 in MeOH. ii) Treatment of (XIII) with (dimethylisopropoxysilyl)-methylmagnesium chloride (XXVII) in THF provides derivative (XXVIII), which is then converted into (XXIV) by treatment with H2O2/NaHCO3 in MeOH-THF. Final conversion of (XXIV) into the target product is achieved by first mesylation of (XXIV) by means of MsCl and Et3N in EtOAc to yield mesylated derivative (XXV), followed by its reaction with 1H-1,2,4-triazole in DMF in the presence of K2CO3.

Drug Information Express,Drug R&D,Chemical Database,Patent Search.
Copyright © 2006-2026 Drug Future. All rights reserved.Contact Us