【药物名称】
化学结构式(Chemical Structure):
参考文献No.18352
标题:Adenosine kinase inhibitors
作者:Browne, C.E.; Ugarkar, B.G.; Mullane, K.M.; Gruber, H.E.; Bullough, D.A.; Erion, M.D.; Castellino, A. (Sicor Inc.)
来源:EP 0496617; JP 1993112595; WO 9212718
合成路线图解说明:

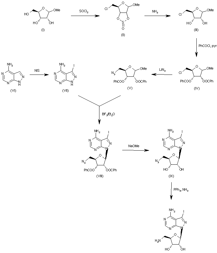
The reaction of methyl D-ribofuranoside (I) with SOCl2 gives methyl 5-chloro-5-deoxy-2,3-O-sulfinyl-D-ribofuranoside (II), which is treated with ammonia to yield methyl 5-chloro-5-deoxy-D-ribofuranoside (III). The reaction of (IV) with benzoyl chloride and pyridine affords the dibenzoate (IV), which is treated with lithium azide in DMF to provide the 5'-azido derivative (V). The condensation of 3-iodo-1H-pyrazolo[3,4-d]pyrimidine-4-amine (VII) (prepared by iodination of (1H-pyrazolo[3,4-d]pyrimidine-4-amine (VI) with N-iodosuccinimide (NIS)) with the azido derivative (V) by means of BF3/Et in nitromethane gives the adduct (VIII), which is debenzoylated with sodium methoxide yielding the azido nucleoside (IX). Finally this compound is reduced with triphenylphosphine and ammonia to furnish the target 5'-amino-nucleoside.

参考文献No.803825
标题:New adenosine kinase inhibitors with oral antiinflammatory activity
作者:Cottam, H.B.
来源:Drugs Fut 1994,19(5),485
合成路线图解说明:

The iodination of 1H-pyrazolo[3,4-d]pyrimidine-4-amine (I) with N-yodosuccinimide (NIS) gives 3-iodo-1H-pyrazolo[3,4-d]pyrimidine-4-amine (II), which is condensed with 1-O-acetyl-2,3,5-tri-O-benzoyl-D-ribofuranose (III) by means of BF3/ethyl ether in nitromethane to yield the benzoylated adduct (IV). Finally this compound is deprotected with sodium methoxide.

合成路线图解说明:

The reaction of methyl D-ribofuranoside (I) with SOCl2 gives methyl 5-chloro-5-deoxy-2,3-O-sulfinyl-D-ribofuranoside (II), which is treated with ammonia to yield methyl 5-chloro-5-deoxy-D-ribofuranoside (III). The reaction of (IV) with benzoyl chloride and pyridine affords the dibenzoate (IV), which is treated with lithium azide in DMF to provide the 5'-azido derivative (V). The condensation of 3-iodo-1H-pyrazolo[3,4-d]pyrimidine-4-amine (VII) (prepared by iodination of (1H-pyrazolo[3,4-d]pyrimidine-4-amine (VI) with N-iodosuccinimide (NIS)) with the azido derivative (V) by means of BF3/Et in nitromethane gives the adduct (VIII), which is debenzoylated with sodium methoxide yielding the azido nucleoside (IX). Finally this compound is reduced with triphenylphosphine and ammonia to furnish the target 5'-amino-nucleoside.

参考文献No.803826
标题:Sixty years of Staudinger reaction
作者:Kasukhin, L.F.; Gololobov, Yu.G.; Zhmurova, I.N.
来源:Tetrahedron 1981,37437-472
合成路线图解说明:

The reaction of methyl D-ribofuranoside (I) with SOCl2 gives methyl 5-chloro-5-deoxy-2,3-O-sulfinyl-D-ribofuranoside (II), which is treated with ammonia to yield methyl 5-chloro-5-deoxy-D-ribofuranoside (III). The reaction of (IV) with benzoyl chloride and pyridine affords the dibenzoate (IV), which is treated with lithium azide in DMF to provide the 5'-azido derivative (V). The condensation of 3-iodo-1H-pyrazolo[3,4-d]pyrimidine-4-amine (VII) (prepared by iodination of (1H-pyrazolo[3,4-d]pyrimidine-4-amine (VI) with N-iodosuccinimide (NIS)) with the azido derivative (V) by means of BF3/Et in nitromethane gives the adduct (VIII), which is debenzoylated with sodium methoxide yielding the azido nucleoside (IX). Finally this compound is reduced with triphenylphosphine and ammonia to furnish the target 5'-amino-nucleoside.

Drug Information Express,Drug R&D,Chemical Database,Patent Search.
Copyright © 2006-2026 Drug Future. All rights reserved.Contact Us