【药物名称】TRK-710
化学结构式(Chemical Structure):
参考文献No.15308
标题:Novel platinum(II) complex and drug for treating malignant tumor
作者:Hata, G.; Mutoh, M.; Hashimoto, H. (Toray Industries, Inc.)
来源:EP 0457921; JP 1991500696; US 5302587; WO 9109041
合成路线图解说明:

3) An alterantive synthesis of the intermediate 26,26,26,27,27,27-hexafluorocholest-5-en-1alpha,3beta,25-triol (VIII) is as follows: The oxidative dehydrogenation of 3beta-hydroxy-5-cholene-24-oic acid methyl ester (XII) with dichlorodicyanobenzoquinone (DDQ) in refluxing dioxane gives 3-oxochola-1,4,6-triene-24-oic acid methyl ester (XIII), which is selectively epoxidized with 30% H2O2 and NaOH in methanol yielding the 1alpha,2alpha-epoxide (XIV). The reductive cleavage of (XIV) with lithium in liquid NH3, followed by hydrolysis with water affords the unsaturated triol (XV), which by selective protection with trityl chloride in pyridine, followed by acetylation with acetic anhydride and dimethylaminopyridine (DMAP) and elimination of the trityl group with p-toluenesulfonic acid, gives 1alpha,3beta-diacetoxy-5-cholen-24-ol (XVI). The reaction of (XVI) with tosyl chloride-pyridine and then with LiBr in DMF yields the 24-bromo derivative (XVII), which is treated with sodium phenylsulfinate in hot DMF affording the sulfone (XVIII). Hydrolysis of the acetoxy groups of (XVIII) with KOH in methanol, followed by silylation of the resulting diol with trimethylsilyl chloride and triethylamine in pyridine gives the silylated sulfone (XIX), which is then condensed with hexafluoroacetone by means of lithium diisopropylamide in THF yielding the sulfonated adduct (XX). Finally, this compound is desilylated to the previously reported triol (VIII) with HCl in methanol.

合成路线图解说明:

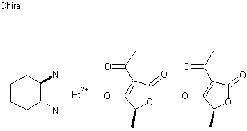
TRK-710 was synthesized by reaction of [1(R),2(R)-cyclohexanediamine-N,N']dihydroxoplatinum(II), (I), with 3-acetyl-5(S)-methyltetrahydrofuran-2,4-dione (II) in water.

参考文献No.389264
标题:TRK-710
作者:Hoshi, A.; Casta馿r, J.
来源:Drugs Fut 1997,22(1),38
合成路线图解说明:

TRK-710 was synthesized by reaction of [1(R),2(R)-cyclohexanediamine-N,N']dihydroxoplatinum(II), (I), with 3-acetyl-5(S)-methyltetrahydrofuran-2,4-dione (II) in water.

参考文献No.558221
标题:Synthesis and platinum complexes containing 3-acyltetronic acid derivatives as ligand and its antitumor activity
作者:Kawai, H.; et al.
来源:Symp Med Chem 1999,Abst 2P-21
合成路线图解说明:

TRK-710 was synthesized by reaction of the platinum complex (I) with 3-acetyl-4-hydroxy-5(S)-methylfuran-2(5H)-one (II) by means of silver sulfate and barium hydroxide in water.

Drug Information Express,Drug R&D,Chemical Database,Patent Search.
Copyright © 2006-2026 Drug Future. All rights reserved.Contact Us