【药物名称】Squalamine, MSI-1256F(lactate)
化学结构式(Chemical Structure):
参考文献No.55830
标题:Chemical synthesis of squalamine
作者:Moriarty, R.M.; Guo, L.; Tuladhar, S.M. (Genaera Corp.)
来源:WO 9419366
合成路线图解说明:

Protection of 3-beta-hydroxy-5-cholenic acid (I) with 2,3-dihydropyran in the presence of pyridinium p-toluenesulfonate provided the bis-tetrahydropyranyl derivative (II). Reduction of the tetrahydropyranyl ester group of (II) with LiAlH4 gave alcohol (III), which was further oxidized to aldehyde (IV) under Swern conditions. Addition of isopropylmagnesium bromide to the aldehyde (IV) yielded the secondary alcohol (V). After silylation of alcohol (V) with t-butyldimethylsilyl chloride and imidazole to (VI), the tetrahydropyranyl protecting group was removed under acidic conditions to afford alcohol (VII). This was further esterified with Ac2O in pyridine to provide acetate ester (VIII).

合成路线图解说明:

Allylic oxidation of (VIII) by means of t-butyl hydroperoxide and chromium hexacarbonyl produced enone (IX). Subsequent Birch reduction of (IX) employing lithium metal in liquid ammonia gave the saturated ketone (X), which was further reduced to alcohol (XI) with K-Selectride in cold THF. Removal of the acetate ester of (XI) was achieved by treatment with NaCN in MeOH, giving diol (XII). The 3-beta hydroxyl group of (XII) was then selectively oxidized to ketone (XIII) under Oppenauer conditions. Ketone (XIII) was converted to the primary amine (XV) via formation of the O-benzyl oxime (XIV), which was reduced by LiAlH4.

合成路线图解说明:

The condensation between 4-bromobutyronitrile (XVI) and 3-amino-1-propanol (XVII) gave the hydroxy amino nitrile (XVIII), which was further converted to the N,O-bis-tosylated derivative (XIX). Displacement of the tosylate ester group of (XIX) with NaI in boiling acetone afforded the alkyl iodide (XX). Alkylation of amine (XV) with iodide (XX) provided the secondary amine adduct (XXI). The p-toluenesulfonamido group of (XXI) was reductively removed by sodium in liquid ammonia, yielding diamine (XXII). Subsequent nitrile reduction by means of LiAlH4 furnished triamine (XXIII).

合成路线图解说明:

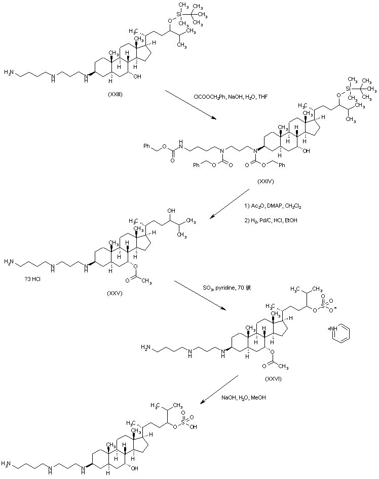
After protection of triamine (XXIII) as the tris-benzyloxycarbonyl derivative (XXIV), its 7-hydroxyl was acetylated by means of Ac2O and DMAP. Further hydrogenolysis of the benzyloxycarbonyl groups in ethanolic HCl also removed the O-silyl group, yielding (XXV). Treatment of alcohol (XXV) with sulfur trioxide in pyridine generated the pyridinium sulfate salt (XXVI). The 7-acetate ester of (XXVI) was finally hydrolyzed with NaOH to furnish the title compound.

合成路线图解说明:

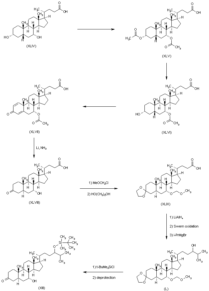
Preparation of the key intermediate (XIII) starting from chenodeoxycholic acid (XLIV) was also reported. Diacetylation of (XLIV), followed by selective hydrolysis of diacetate (XLV), gave the C-3 alcohol (XLVI). This was oxidized to dienone (XLVII) following a previously reported procedure. Reduction of (XLVII) by lithium in liquid ammonia yielded the saturated ketone (XLVIII). Protection of the 7-hydroxyl group of (XLVIII) using methoxymethyl chloride, followed by ketalization of the 3-ketone, afforded (XLIX). Side-chain elongation in (XLIX) as in Scheme 20248401a produced (L), which was then deprotected giving (XIII).

合成路线图解说明:

Alternatively, intermediate (XLVIII) can also be obtained by Oppenauer oxidation of chenodeoxycholic acid (XLIV) to yield ketone (LI), which is further oxidized employing SeO2 to provide conjugate ketone (LII). Birch reduction of (LII) with lithium in liquid ammonia led to the trans-fused A-B ring compound (XLVIII).

合成路线图解说明:

In a different synthesis of intermediate (XI), compound (LIV) (prepared by acetylation of fucosterol (LIII)) was subjected to ozonolysis to produce ketone (LV). Protection of the keto group by ketalization yielded (LVI), which was allylically oxidized to the conjugated ketone (LVII). Double bond reduction in (LVII) by lithium in ammonia, followed by stereoselective reduction of resulting ketone with K-Selectride, yielded alcohol (LVIII). Acid-catalyzed hydrolysis of the ethylene ketal group of (LVIII) gave ketone (LIX). This was converted to intermediate (XI) by reduction with Ca(BH4)2 and subsequent silylation of the resulting alcohol.

合成路线图解说明:

Optionally, acetate ester hydrolysis of intermediate (LVIII), followed by regioselective alcohol oxidation with Collin's reagent, yielded ketone (LX). The 7-hydroxyl group of (LX) was then protected by benzylation to afford (LXI). Reductive amination of ketone (LXI) with the di-Boc-protected spermidine (XL) provided the polyamino sterol (LXII). After hydrolysis of the ethylidene ketal group of (LXII), the resultant ketone was reduced by NaBH4 to give alcohol (LXIII).

合成路线图解说明:

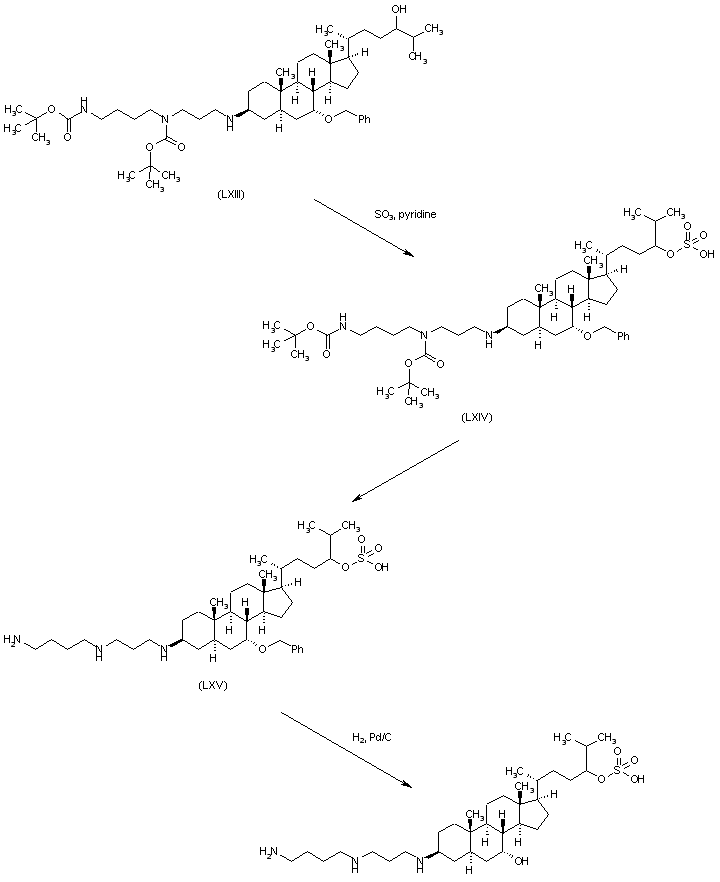
Sulfation of alcohol (LXIII) with SO3-pyridine yielded (LXIV). After acidic Boc group cleavage, the resultant compound (LXV) was subjected to benzyl group hydrogenolysis to give the title compound.

合成路线图解说明:

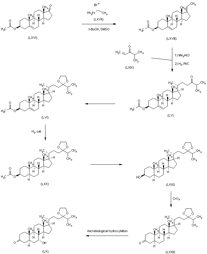
In a synthetic route starting from dehydroepiandrosterone (LXVI), Wittig reaction of ketone (LXVI) with ethyl triphenylphosphonium bromide (LXVII) and potassium tert-butoxide gave the C-17 ethylidene derivative (LXVIII). Condensation of (LXVIII) with isopropyl vinyl ketone (LXIX) in the presence of dimethylaluminum chloride, followed by catalytic hydrogenation over Pt/C, yielded (LV), which was then converted into ethylene ketal (LVI). Catalytic hydrogenation of (LVI) gave compound (LXX), whose acetate ester was hydrolyzed to afford alcohol (LXXI). Oxidation of (LXXI) by means of chromic acid furnishes ketone (LXXII), from which intermediate (LX) was obtained by introduction of the 7-alpha hydroxyl group by means of microbiological oxidation employing several microorganism strains.

合成路线图解说明:

In another synthetic route from pregnenolone acetate (LXXIII), its ketalization to (LXXIV) followed by allylic oxidation led to enone (LXXV). Sequential reduction of (LXXV) with lithium in liquid ammonia and then with K-Selectride gave alcohol (LXXVI), which was further protected as the methoxymethyl derivative (LXXVII). Selective deprotection of the C-20 ketal of (LXXVII) yielded ketone (LXXVIII). Ylide (LXXX) was prepared by condensation of bromide (LXXIX) with triphenylphosphine, followed by deprotonation with n-BuLi. Wittig condensation of ketone (LXXVIII) with phosphorane (LXXX) furnished olefin (LXXXI). Then, double-bond hydrogenation and deprotection of the 7-hydroxyl group of (LXXXI) gave rise to the intermediate (XI).

参考文献No.55831
标题:Stereoselective synthesis of 24-hydroxylated cpds. useful for the preparation of aminosterols, vitamin D analogs, and other cpds.
作者:Kinney, W.A.; Meckler, H.; Zhang, X.; Lee, N.; Jones, S.; Rao, M.N.; Bulliard, M. (Genaera Corp.)
来源:WO 9824800
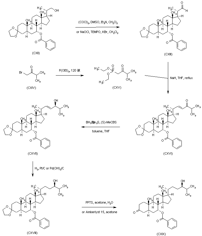
合成路线图解说明:

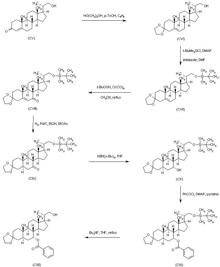
In a further synthetic procedure, ketalization of enone (CV) with ethyleneglycol afforded (CVI). After silylation of the primary alcohol group of (CVI) to (CVII), allylic oxidation by means of tert-butyl hydroperoxide and Cr(CO)6 furnished ketone (CVIII). Catalytic hydrogenation of the double bond of (CVIII) to (CIX), followed by ketone reduction with K-Selectride, gave the C-7 alcohol (CX), which was esterified with benzoyl chloride, yielding benzoate ester (CXI). Subsequent desilylation of (CXI) using tetrabutylammonium fluoride provided (CXII).

合成路线图解说明:

Alcohol (CXII) was converted to aldehyde (CXIII) either by Swern oxidation or by means of NaOCl and TEMPO. The Horner-Emmons condensation of phosphonate (CXV) (prepared from bromo ketone (CXIV) and triethyl phosphite) with aldehyde (CXIII) furnished the unsaturated ketone (CXVI). Asymmetric reduction of the carbonyl group of (CXVI) was accomplished by means of borane-dimethyl sulfide complex in the presence of (S)-MeCBS, yielding (CXVII). Catalytic hydrogenation of the resultant allylic alcohol (CXVII) afforded (CXVIII). The ethylene ketal group of (CXVIII) was then hydrolyzed under acidic conditions to the ketone (CXIX).

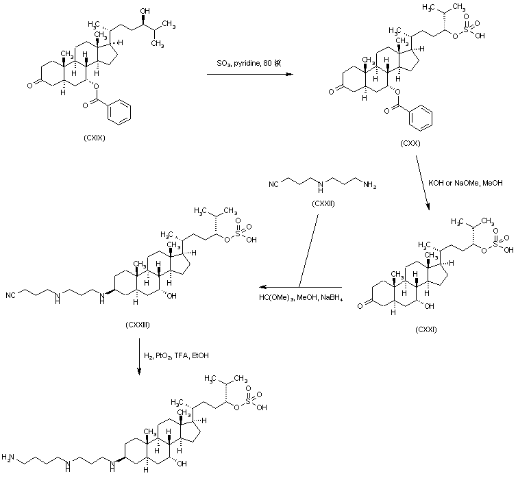
合成路线图解说明:

Treatment of the OH group of (CXIX) with SO3-pyridine provided sulfate (CXX). The benzoate ester of (CXX) was subsequently hydrolyzed under basic conditions to give (CXXI). Reductive amination of (CXXI) with the cyanodiamine (CXXII) afforded (CXXIII). The cyano group of (CXXIII) was finally reduced to the target amine by catalytic hydrogenation.

参考文献No.55832
标题:A process for the preparation of 7alpha-hydroxy 3-aminosubstd. sterols using intermediates with an unprotected 7alpha-hydroxy group
作者:Kinney, W.A.; Zhang, X.; Michalak, R. (Genaera Corp.)
来源:WO 0179255
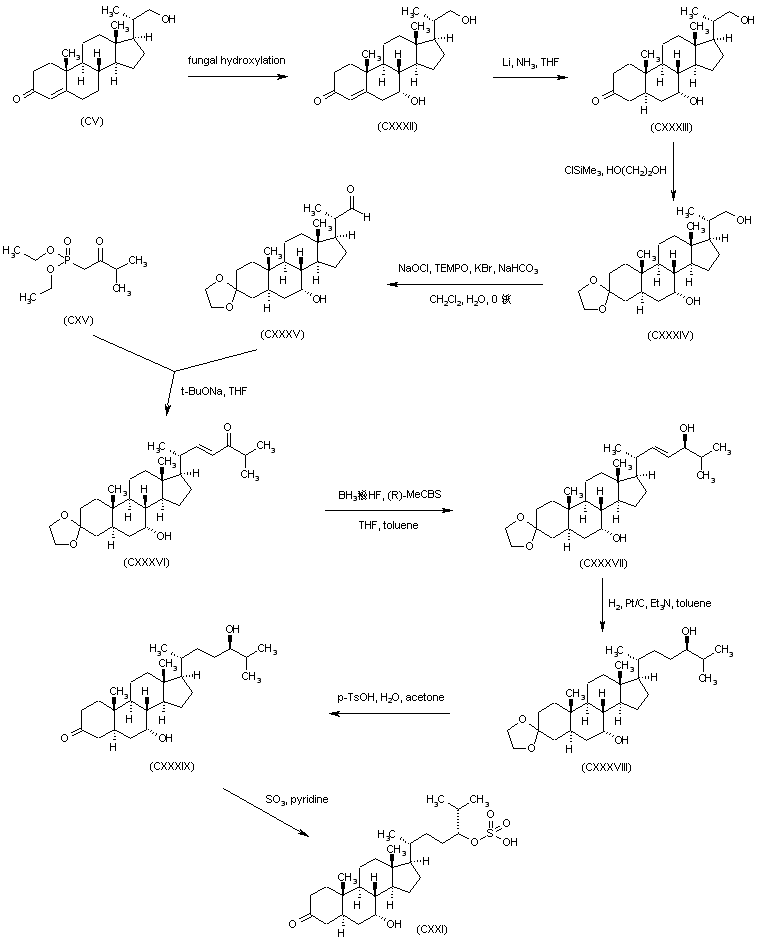
合成路线图解说明:

Steroid (CV) was treated with the fungal species Diplodia gossipina to yield the 7-hydroxylated compound (CXXXII) as a fermentation metabolite. Reduction of enone (CXXXII) by lithium in liquid ammonia afforded the saturated ketone (CXXXIII), which was subsequently protected as the ethylene ketal (CXXXIV) by treatment with ethylene glycol and chlorotrimethylsilane. Selective oxidation of the C-22 alcohol group of (CXXXIV) with NaOCl in the presence of TEMPO provided aldehyde (CXXXV). Wadsworth-Emmons condensation of (CXXXV) with phosphonate (CXV) gave enone (CXXXVI). Stereoselective reduction of (CXXXVI) to the 24-(S)-alcohol (CXXXVII) was achieved by treatment with borane-tetrahydrofuran complex in the presence of the chiral catalyst (R)-MeCBS. After catalytic hydrogenation of the double bond of (CXXXVII), the resultant ketal (CXXXVIII) was hydrolyzed to ketone (CXXXIX) under acidic conditions. Sulfation of (CXXXIX) by means of sulfur trioxide-pyridine furnished the key precursor (CXXI), which was then reductively aminated as in the precedent Scheme

参考文献No.595126
标题:A short formal synthesis of squalamine from a microbial metabolite
作者:Kinney, W.A.; Zhang, X.; Williams, J.I.; Johnston, S.; Michalak, R.S.; Deshpande, M.N.; Dostal, L.; Rosazza, J.P.
来源:Org Lett 2000,2(19),2921
合成路线图解说明:

Steroid (CV) was treated with the fungal species Diplodia gossipina to yield the 7-hydroxylated compound (CXXXII) as a fermentation metabolite. Reduction of enone (CXXXII) by lithium in liquid ammonia afforded the saturated ketone (CXXXIII), which was subsequently protected as the ethylene ketal (CXXXIV) by treatment with ethylene glycol and chlorotrimethylsilane. Selective oxidation of the C-22 alcohol group of (CXXXIV) with NaOCl in the presence of TEMPO provided aldehyde (CXXXV). Wadsworth-Emmons condensation of (CXXXV) with phosphonate (CXV) gave enone (CXXXVI). Stereoselective reduction of (CXXXVI) to the 24-(S)-alcohol (CXXXVII) was achieved by treatment with borane-tetrahydrofuran complex in the presence of the chiral catalyst (R)-MeCBS. After catalytic hydrogenation of the double bond of (CXXXVII), the resultant ketal (CXXXVIII) was hydrolyzed to ketone (CXXXIX) under acidic conditions. Sulfation of (CXXXIX) by means of sulfur trioxide-pyridine furnished the key precursor (CXXI), which was then reductively aminated as in the precedent Scheme

参考文献No.615719
标题:A new highly stereoselective construction of the sidechain of squalamine through improved Sharpless catalytic asymmetric dihydroxylation
作者:Zhou, X.D.; et al.
来源:Tetrahedron Lett 2001,42(13),2537
合成路线图解说明:

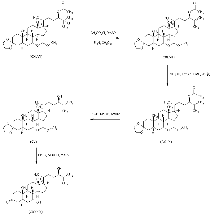
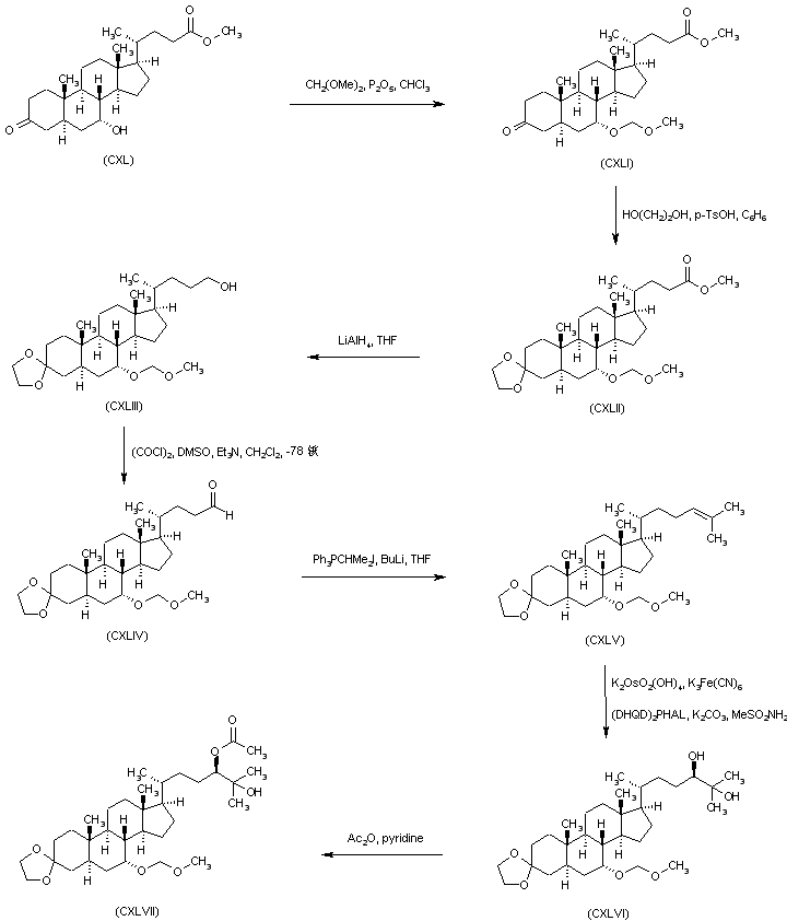
Intermediate (CXXXIX) has been prepared by a new synthetic procedure:The known methyl 3-keto-5-alpha-chenodeoxycholanate (CXL) was protected as the methoxymethyl ether (CXLI) by treatment with dimethoxymethane and P2O5. Further protection of the keto group of (CXLI) as the ethylene ketal (CXLII), followed by reduction with LiAlH4, afforded alcohol (CXLIII). Swern oxidation of alcohol (CXLIII) yielded aldehyde (CXLIV). This was subjected to Wittig condensation with isopropylidene triphenylphosphorane to give olefin (CXLV). Sharpless asymmetric dihydroxylation of olefin (CXLV) furnished the target diol (CXLVI). Selective esterification of the secondary alcohol of (CXLVI) with Ac2O in pyridine gave rise to acetate (CXLVII).

合成路线图解说明:

The tertiary alcohol group of (CXLVII) was dehydrated to (CXLVIII) upon treatment with methanesulfonyl chloride and triethylamine. Diimide reduction of the olefin double bond of (CXLVIII) produced (CXLIX). The acetate ester of (CXLIX) was further hydrolyzed to alcohol (CL) by methanolic KOH. Then, acidic hydrolysis of the ketal protecting groups of (CL) furnished the key precursor (CXXXIX).

参考文献No.681695
标题:Synthesis of an azido spermidine equivalent
作者:Weis, A.L.; et al.
来源:Tetrahedron Lett 1999,40(26),4863
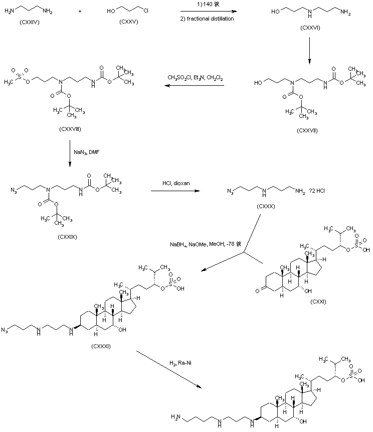
合成路线图解说明:

In a further synthetic strategy, an azido precursor of spermidine (CXXX) was used in the reductive amination step. Condensation between 1,3-diaminopropane (CXXIV) and 4-chloro-1-butanol (CXXV) provided the diamino alcohol (CXXVI). Protection of the amino groups of (CXXVI) with di-tert-butyl dicarbonate yielded alcohol (CXXVII), which was converted to mesylate (CXXVIII) by treatment with methanesulfonyl chloride and triethylamine. Subsequent mesylate displacement in (CXXVIII) with NaN3 in DMF furnished the di-Boc-protected azide (CXXIX). The Boc protecting groups of (CXXIX) were then removed by treatment with HCl to give the desired diamino azide (CXXX). Reductive amination of the 3-keto steroid (CXXI) with amine (CXXX) yielded the 3-beta amino steroid (CXXXI). The azido group of (CXXXI) was finally reduced to the title triamino compound by catalytic hydrogenation over Raney-Ni.

参考文献No.681696
标题:Synthesis of squalamine utilizing a readily accessible spermidine equivalent
作者:Zhang, X.; et al.
来源:J Org Chem 1998,63(23),8599
合成路线图解说明:

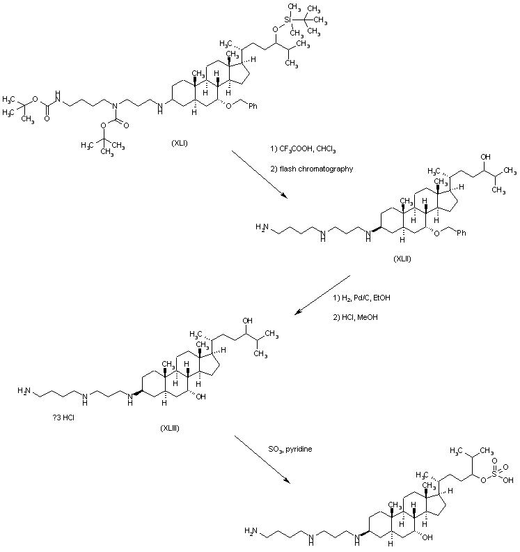
Removal of the Boc and silyl protecting groups of (XLI) was accomplished by treatment with trifluoroacetic acid in chloroform to provide, after chromatographic separation, the 3-alpha-polyamino sterol (XLII). Subsequent catalytic hydrogenation removed the benzyl protecting group of (XLVII), yielding (XLIII). Finally, sulfation of alcohol (XLIII) with sulfur trioxide-pyridine gave rise to the title compound.

合成路线图解说明:

Alcohol (CXII) was converted to aldehyde (CXIII) either by Swern oxidation or by means of NaOCl and TEMPO. The Horner-Emmons condensation of phosphonate (CXV) (prepared from bromo ketone (CXIV) and triethyl phosphite) with aldehyde (CXIII) furnished the unsaturated ketone (CXVI). Asymmetric reduction of the carbonyl group of (CXVI) was accomplished by means of borane-dimethyl sulfide complex in the presence of (S)-MeCBS, yielding (CXVII). Catalytic hydrogenation of the resultant allylic alcohol (CXVII) afforded (CXVIII). The ethylene ketal group of (CXVIII) was then hydrolyzed under acidic conditions to the ketone (CXIX).

合成路线图解说明:

Treatment of the OH group of (CXIX) with SO3-pyridine provided sulfate (CXX). The benzoate ester of (CXX) was subsequently hydrolyzed under basic conditions to give (CXXI). Reductive amination of (CXXI) with the cyanodiamine (CXXII) afforded (CXXIII). The cyano group of (CXXIII) was finally reduced to the target amine by catalytic hydrogenation.

参考文献No.681697
标题:Stereoselective synthesis of squalamine dessulfate
作者:Moriarty, R.M.; et al.
来源:Tetrahedron Lett 1995,36(29),5139
合成路线图解说明:

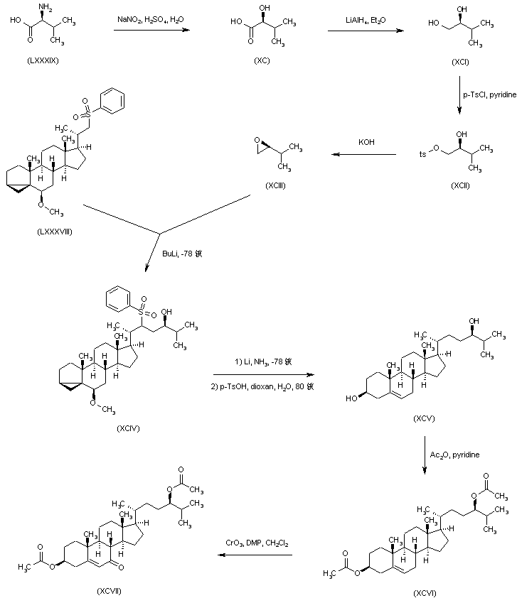
A stereoselective synthesis of the (24R)-epimer of squalamine dessulfate (CIII) has been reported starting from stigmasterol (LXXXII). Tosylate (LXXXIII) prepared from (LXXXII) was rearranged in the presence of potassium acetate in methanol to afford the cyclopropane compound (LXXXIV). Ozonization of the double bond produced aldehyde (LXXXV), which was subsequently reduced to alcohol (LXXXVI) by means of NaBH4. The primary alcohol (LXXXVI) was converted into the corresponding mesylate, which was further displaced by NaI to provide the alkyl iodide (LXXXVII). Condensation of iodide (LXXXVII) with sodium benzenesulfinate furnished sulfone (LXXXVIII).

合成路线图解说明:

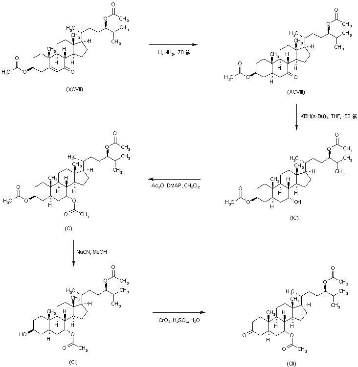
Diazotization of (S)-valine (LXXXIX) gave rise to the alpha-hydroxyacid (XC), which was reduced to diol (XCI) using LiAlH4. Tosylation of the primary hydroxyl of (XCI), followed by cyclization of the resulting tosylate (XCII) under basic conditions, furnished epoxide (XCIII). Condensation of epoxide (XCIII) with the lithium anion derived from sulfone (LXXXVIII) gave adduct (XCIV). Reductive elimination of the phenylsulfonyl group and then acidic rearrangement of the cyclopropane ring provided the dihydroxy steroid (XCV). After protection of (XCV) as the diacetate (XCVI), allylic oxidation with CrO3 in the presence of dimethylpyrazole yielded enone (XCVII).

合成路线图解说明:

Birch reduction of enone (XCVII), followed by reduction of the saturated ketone (XCVIII) with K-Selectride, provided alcohol (XCIX). Acetylation of (IC) gave the triacetate (C). Selective hydrolysis of the C-3 acetate group of (C) with NaCN in MeOH yielded alcohol (CI), which was oxidized to ketone (CII) by using the Jones reagent.

合成路线图解说明:

Reductive amination of ketone (CII) with the deprotected spermidine (XL) in the presence of NaBH3CN provided the triamino derivative (CIII). The Boc protecting groups of (CIII) were then removed by acidic treatment to furnish the target precursor (CIV).

参考文献No.681698
标题:Synthesis of 24xi-squalamine, an anti-infective steroidal polyamine
作者:Pechulis, A.D.; et al.
来源:J Org Chem 1995,60(16),5121
合成路线图解说明:

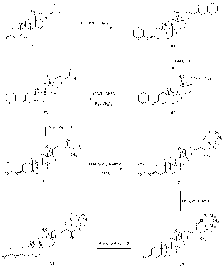
Protection of 3-beta-hydroxy-5-cholenic acid (I) with 2,3-dihydropyran in the presence of pyridinium p-toluenesulfonate provided the bis-tetrahydropyranyl derivative (II). Reduction of the tetrahydropyranyl ester group of (II) with LiAlH4 gave alcohol (III), which was further oxidized to aldehyde (IV) under Swern conditions. Addition of isopropylmagnesium bromide to the aldehyde (IV) yielded the secondary alcohol (V). After silylation of alcohol (V) with t-butyldimethylsilyl chloride and imidazole to (VI), the tetrahydropyranyl protecting group was removed under acidic conditions to afford alcohol (VII). This was further esterified with Ac2O in pyridine to provide acetate ester (VIII).

合成路线图解说明:

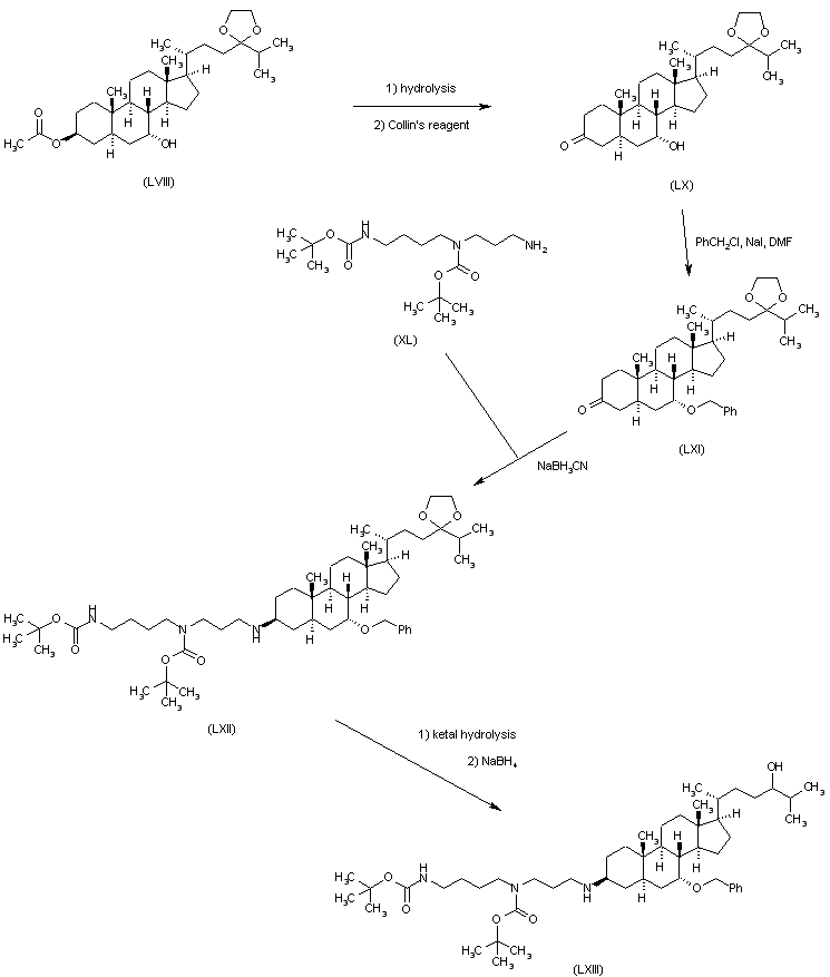
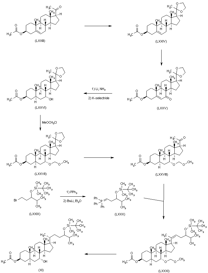
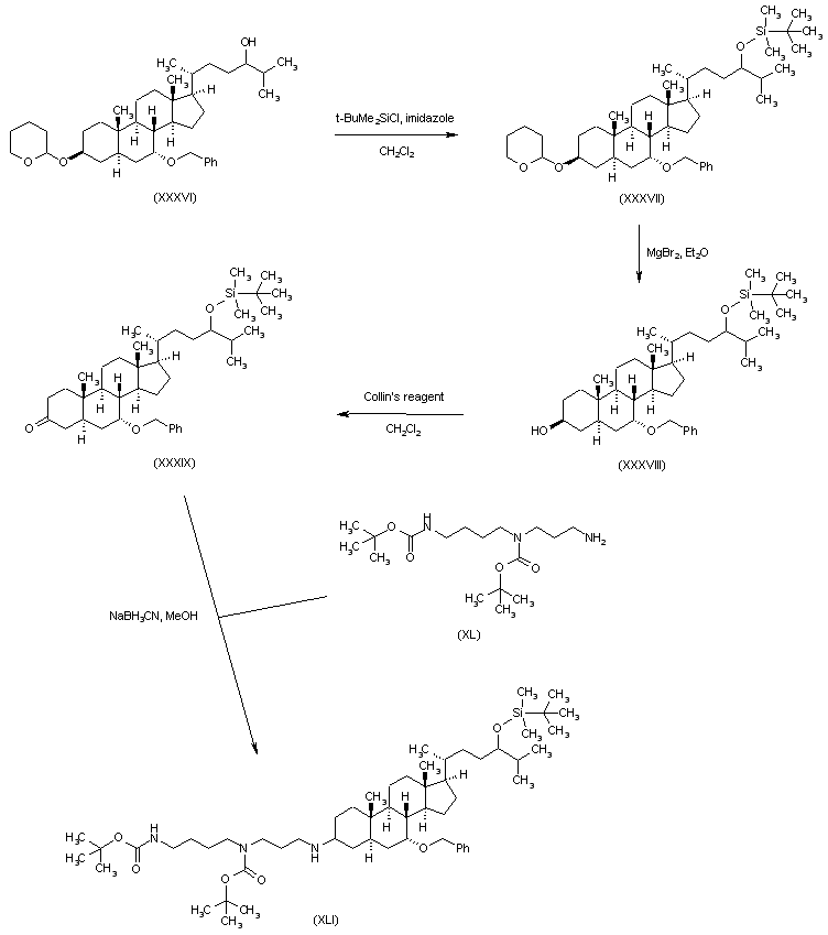
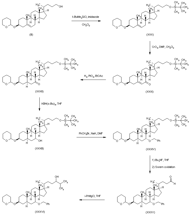
In a different method, protection of alcohol (III) as the tert-butyldimethylsilyl ether (XXX), followed by allylic oxidation by means of CrO3 in the presence of 3,5-dimethylpyrazole (DMP), gave enone (XXXI). Hydrogenation of (XXXI) using Adams catalyst resulted in the formation of the saturated ketone (XXXII). Some undesired 7-beta alcohol byproduct was reoxidized to ketone (XXXII) by means of Collin's reagent. Stereoselective reduction of ketone (XXXII) with K-Selectride afforded the 7-alpha alcohol (XXXIII), which was protected as the benzyl ether (XXXIV) by treatment with benzyl bromide and NaH. After desilylation of (XXXIV) with Bu4NF, the deprotected alcohol was subjected to Swern oxidation to provide aldehyde (XXXV). Addition of isopropylmagnesium chloride to aldehyde (XXXV) gave alcohol (XXXVI) as a mixture of epimers.

合成路线图解说明:

After silylation of alcohol (XXXVI) to silyl ether (XXXVII), its tetrahydropyranyl protecting group was selectively removed by treatment with magnesium bromide in Et2O. The resultant 3-beta alcohol (XXXVIII) was oxidized to ketone (XXXIX) employing Collin's reagent. The polyamino side-chain was then introduced in (XXXIX) by reductive amination with the di-Boc-protected spermidine (XL) in the presence of NaBH3CN, giving (XLI) as a mixture of 3-alpha and 3-beta isomers.

参考文献No.681700
标题:Synthesis of squalamine. A steroidal antibiotic from the shark
作者:Moriarty, R.M.; et al.
来源:Tetrahedron Lett 1994,35(44),8103
合成路线图解说明:

Protection of 3-beta-hydroxy-5-cholenic acid (I) with 2,3-dihydropyran in the presence of pyridinium p-toluenesulfonate provided the bis-tetrahydropyranyl derivative (II). Reduction of the tetrahydropyranyl ester group of (II) with LiAlH4 gave alcohol (III), which was further oxidized to aldehyde (IV) under Swern conditions. Addition of isopropylmagnesium bromide to the aldehyde (IV) yielded the secondary alcohol (V). After silylation of alcohol (V) with t-butyldimethylsilyl chloride and imidazole to (VI), the tetrahydropyranyl protecting group was removed under acidic conditions to afford alcohol (VII). This was further esterified with Ac2O in pyridine to provide acetate ester (VIII).

合成路线图解说明:

Allylic oxidation of (VIII) by means of t-butyl hydroperoxide and chromium hexacarbonyl produced enone (IX). Subsequent Birch reduction of (IX) employing lithium metal in liquid ammonia gave the saturated ketone (X), which was further reduced to alcohol (XI) with K-Selectride in cold THF. Removal of the acetate ester of (XI) was achieved by treatment with NaCN in MeOH, giving diol (XII). The 3-beta hydroxyl group of (XII) was then selectively oxidized to ketone (XIII) under Oppenauer conditions. Ketone (XIII) was converted to the primary amine (XV) via formation of the O-benzyl oxime (XIV), which was reduced by LiAlH4.

合成路线图解说明:

The condensation between 4-bromobutyronitrile (XVI) and 3-amino-1-propanol (XVII) gave the hydroxy amino nitrile (XVIII), which was further converted to the N,O-bis-tosylated derivative (XIX). Displacement of the tosylate ester group of (XIX) with NaI in boiling acetone afforded the alkyl iodide (XX). Alkylation of amine (XV) with iodide (XX) provided the secondary amine adduct (XXI). The p-toluenesulfonamido group of (XXI) was reductively removed by sodium in liquid ammonia, yielding diamine (XXII). Subsequent nitrile reduction by means of LiAlH4 furnished triamine (XXIII).

合成路线图解说明:

After protection of triamine (XXIII) as the tris-benzyloxycarbonyl derivative (XXIV), its 7-hydroxyl was acetylated by means of Ac2O and DMAP. Further hydrogenolysis of the benzyloxycarbonyl groups in ethanolic HCl also removed the O-silyl group, yielding (XXV). Treatment of alcohol (XXV) with sulfur trioxide in pyridine generated the pyridinium sulfate salt (XXVI). The 7-acetate ester of (XXVI) was finally hydrolyzed with NaOH to furnish the title compound.

合成路线图解说明:

In an alternative preparation of intermediate (VIII), 3-beta-acetoxy-5-cholenic acid (XXVII) was converted to the corresponding acid chloride, to which was added isopropylcadmium bromide, yielding ketone (XXVIII). Subsequent reduction of (XXVIII) with calcium borohydride in THF, followed by silylation of the resultant alcohol (XXIX), provided intermediate (VIII).

参考文献No.711622
标题:A stereoselective synthesis of squalamine
作者:Zhou, X.D.; et al.
来源:Tetrahedron 2002,58(52),10293
合成路线图解说明:

The oxidation of chenodeoxycholanic acid methyl ester (I) by known methods gives the 3-oxo derivative (II), which is treated with CH2(OMe)2 and P2O5 in chloroform to yield the 7-O-Mom protected compound (III). The reaction of (III) with ethyleneglycol and TsOH in refluxing benzene affords the ethyleneketal (IV), whose ester group is reduced with LiAlH4 in THF to provide the pentanol derivative (V). The oxidation of (V) with oxalyl chloride and DMSO in dichloromethane gives the aldehyde (VI), which is condensed with the phosphonium iodide (VII) by means of BuLi in THF to yield steroid (VIII) with an unsaturated side chain. The dihydroxylation of (VIII) by means of (DHQD)2PHAL, K2OsO2(OH)4 and K3Fe(CN)6 affords the 24(R),25-dihydroxysteroid (IX), which is monoacylated with Ac2O and pyridine to provide the monoacetate (X). The dehydration of (X) by means of MsCl and TEA gives the unsaturated acetoxy compound (XI), which is reduced and hydrolyzed by means of hydroxylamine and KOH to yield the 24(R)-hydroxysteroid (XII). Elimination of the ethylene ketal and Mom protecting groups of (XII) by means of TsOH in t-butanol affords the ketosteroid (XIII).

合成路线图解说明:

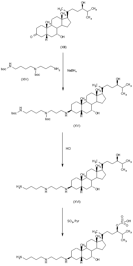
The reductocondensation of (XIII) with protected amine (XIV) by means of NaBH4 in methanol gives a mixture of the 3-beta and 3-alpha steroids, easily separated by flash chromatography. The desired 3-beta isomer (XV) is deprotected by means of HCl in methanol, yielding intermediate (XVI), which is finally treated with SO3 and pyridine to afford the target 24(R)-O-sulfate steroid

Drug Information Express,Drug R&D,Chemical Database,Patent Search.
Copyright © 2006-2026 Drug Future. All rights reserved.Contact Us