【药物名称】Fipamezole hydrochloride, JP-1730
化学结构式(Chemical Structure):
参考文献No.21697
标题:Substd. imidazole derivs. and their preparation and use
作者:Karjalainen, A.J.; Virtanen, R.E.; Karjalainen, A.L.; Eloranta, M.M.; Salonen, J.S.; Sipil? H.T.; Haapalinna, A.S. (Orion Corporation)
来源:EP 0618906; JP 1995506087; US 5498623; WO 9313074
合成路线图解说明:

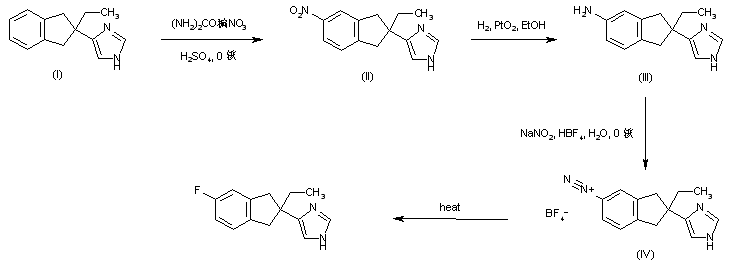
The previously reported indanyl imidazole (I) was nitrated by means of urea nitrate in sulfuric acid to afford (II). Reduction of the nitro group of (II) to the corresponding aniline (III) was carried out by catalytic hydrogenation over PtO2. Diazotization of (III) with sodium nitrite and fluoroboric acid gave rise to the diazonium fluoroborate (IV), which was then subjected to thermal decomposition to generate the title fluoro derivative.

参考文献No.716125
标题:Fipamezole Hydrochloride
作者:Sorbera, L.A.; Casta馿r, J.; Bay閟, M.
来源:Drugs Fut 2003,28(1),14
合成路线图解说明:

The previously reported indanyl imidazole (I) was nitrated by means of urea nitrate in sulfuric acid to afford (II). Reduction of the nitro group of (II) to the corresponding aniline (III) was carried out by catalytic hydrogenation over PtO2. Diazotization of (III) with sodium nitrite and fluoroboric acid gave rise to the diazonium fluoroborate (IV), which was then subjected to thermal decomposition to generate the title fluoro derivative.

Drug Information Express,Drug R&D,Chemical Database,Patent Search.
Copyright © 2006-2026 Drug Future. All rights reserved.Contact Us