【药物名称】SB-203580
化学结构式(Chemical Structure):
参考文献No.21507
标题:Imidazole derivs. and their use as cytokine inhibitors
作者:Adams, J.L.; Gallagher, T.F.; Lee, J.C.; White, J.R. (GlaxoSmithKline plc)
来源:EP 0623126; EP 0943616; JP 1995503017; US 5686455; WO 9314081
合成路线图解说明:

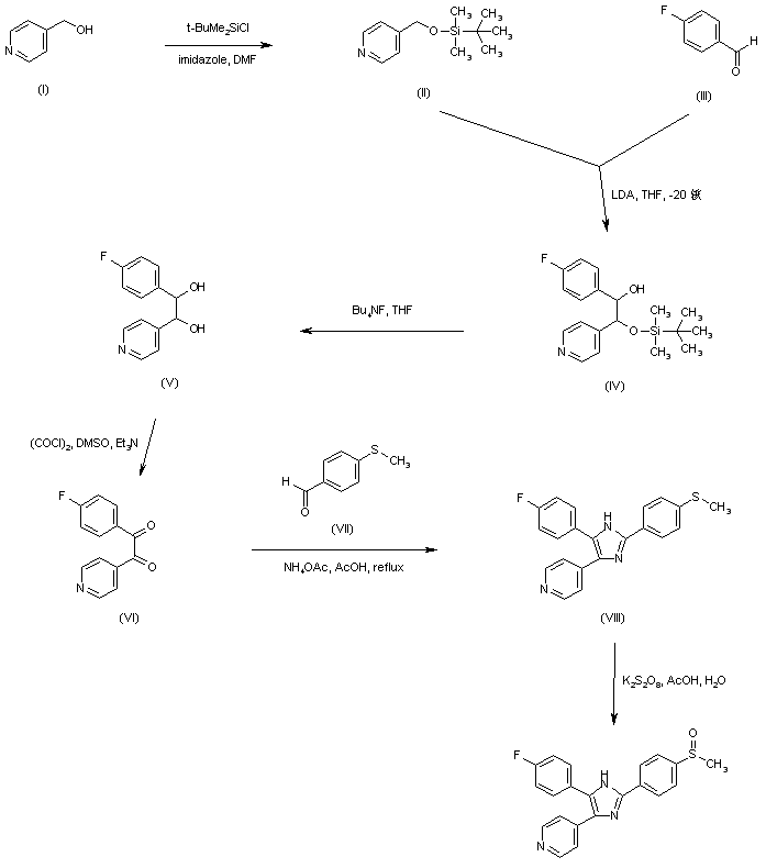
4-[(tert-Butyldimethylsilyloxy)methyl]pyridine (II) was prepared by silylation of 4-hydroxymethylpyridine (I) with tert-butyldimethylsilyl chloride and imidazole. Deprotonation of (II) by means of LDA in cold THF, followed by condensation with 4-fluorobenzaldehyde (III), furnished the protected diol adduct (IV), which was further desilylated upon treatment with tetrabutylammonium fluoride in THF. Oxidation of the resultant diol (V) under Swern conditions provided diketone (VI). The triaryl imidazole (VIII) was then obtained by condensation of diketone (VI) with 4-(methylsulfanyl)benzaldehyde (VII) in the presence of ammonium acetate in refluxing HOAc. Finally, oxidation of the thioether function of (VIII) with K-2S2O8 furnished the title sulfoxide.

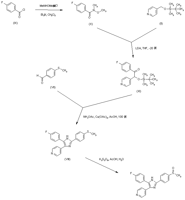
合成路线图解说明:

In a related procedure, 4-fluorobenzoyl chloride (IX) was converted to the corresponding Weinreb amide (X) upon treatment with N,O-dimethylhydroxylamine. Condensation of (X) with the lithium derivative of 4-[(tert-butyldimethylsilyloxy)methyl]pyridine (II) furnished the silylated hydroxy ketone (XI). This was then condensed with 4-(methylthio)benzaldehyde (VII) in the presence of cupric acetate as oxidant and ammonium acetate to produce the intermediate triaryl imidazole (VIII), which was finally oxidized as above.

参考文献No.26059
标题:Imidazoles for treating cytokine mediated disease
作者:Adams, J.L.; Gallagher, T.F.; Lee, J.C.; White, J.R. (GlaxoSmithKline plc)
来源:WO 9503297
合成路线图解说明:

In a related procedure, 4-fluorobenzoyl chloride (IX) was converted to the corresponding Weinreb amide (X) upon treatment with N,O-dimethylhydroxylamine. Condensation of (X) with the lithium derivative of 4-[(tert-butyldimethylsilyloxy)methyl]pyridine (II) furnished the silylated hydroxy ketone (XI). This was then condensed with 4-(methylthio)benzaldehyde (VII) in the presence of cupric acetate as oxidant and ammonium acetate to produce the intermediate triaryl imidazole (VIII), which was finally oxidized as above.

参考文献No.328804
标题:2,4,5-Triarylimidazole inhibitors of IL-1 biosynthesis
作者:Gallagher, T.F.; et al.
来源:Bioorg Med Chem Lett 1995,5(11),1171
合成路线图解说明:

In a related procedure, 4-fluorobenzoyl chloride (IX) was converted to the corresponding Weinreb amide (X) upon treatment with N,O-dimethylhydroxylamine. Condensation of (X) with the lithium derivative of 4-[(tert-butyldimethylsilyloxy)methyl]pyridine (II) furnished the silylated hydroxy ketone (XI). This was then condensed with 4-(methylthio)benzaldehyde (VII) in the presence of cupric acetate as oxidant and ammonium acetate to produce the intermediate triaryl imidazole (VIII), which was finally oxidized as above.

参考文献No.690701
标题:Regulation of stress-induced cytokine production by pyridinylimidazoles; inhibition of CSBP kinase
作者:Gallagher, T.F.; Seibel, G.L.; Kassis, S.; Laydon, J.T.; Blumenthal, M.J.; Lee, J.C.; Lee, D.; Boehm, J.C.; Fier-Thompson, S.M.; Abt, J.W.; Soreson, M.E.; Smietana, J.M.; Hall, R.F.; Garigipati, R.S.; Bender, P.E.; Erhard, K.F.; Krog, A.J.; et al.
来源:Bioorg Med Chem 1997,5(1),49
合成路线图解说明:

In a related procedure, 4-fluorobenzoyl chloride (IX) was converted to the corresponding Weinreb amide (X) upon treatment with N,O-dimethylhydroxylamine. Condensation of (X) with the lithium derivative of 4-[(tert-butyldimethylsilyloxy)methyl]pyridine (II) furnished the silylated hydroxy ketone (XI). This was then condensed with 4-(methylthio)benzaldehyde (VII) in the presence of cupric acetate as oxidant and ammonium acetate to produce the intermediate triaryl imidazole (VIII), which was finally oxidized as above.

Drug Information Express,Drug R&D,Chemical Database,Patent Search.
Copyright © 2006-2026 Drug Future. All rights reserved.Contact Us