【药物名称】Pleconaril, SR-263843, SR-63843, VP-63843, Win-63843, Picovir
化学结构式(Chemical Structure):
参考文献No.21968
标题:1,2,4-Oxadiazolyl-phenoxyalkylisoxazoles and their use as antiviral agents
作者:Diana, G.D.; Nitz, T.J. (Sanofi-Synth閘abo)
来源:EP 0566199; JP 1994049066; US 5349068
合成路线图解说明:

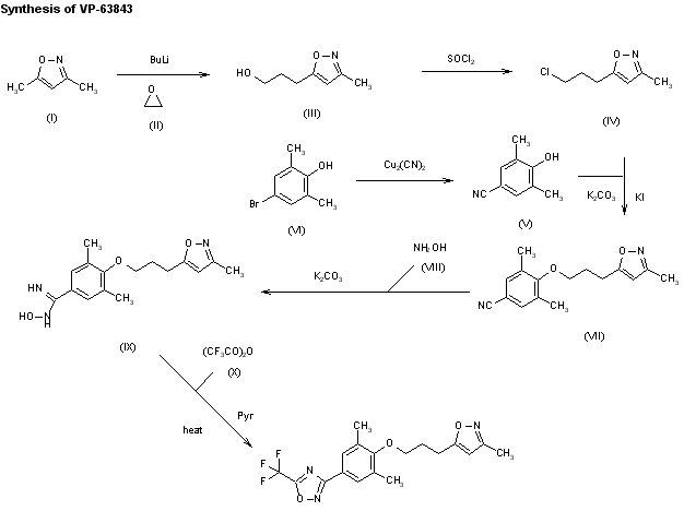
The condensation of 3,5-dimethylisoxazole (I) with ethylene oxide (II) by means of butyllithium in THF gives 3-(3-methylisoxazol-5-yl)-1-propanol (III), which by reaction with refluxing SOCl2 yields the corresponding propyl chloride (IV). The condensation of (IV) with 4-hydroxy-3,5-dimethylbenzonitrile (V) [obtained by reaction of 4-bromo-2,6-dimethylphenol (VI) with Cu2CN2 in refluxing DMF] by means of K2CO3 and KI in hot N-methylpyrrolidone affords 3,5-dimethyl-4-[3-(3-methylisoxazol-5-yl)propoxy]benzonitrile (VII). The reaction of (VII) with hydroxylamine (VIII) and K2CO3 in refluxing ethanol gives the corresponding benzohydroxamic acid (IX), which is finally cyclized with refluxing trifluoroacetic anhydride and pyridine.

参考文献No.32684
标题:1,2,4-Oxadiazolyl-phenoxyalkylisoxazoles and their use as antiviral agents
作者:Diana, G.D.; Nitz, T.J. (Sanofi-Synth閘abo)
来源:US 5464848
合成路线图解说明:

The condensation of 3,5-dimethylisoxazole (I) with ethylene oxide (II) by means of butyllithium in THF gives 3-(3-methylisoxazol-5-yl)-1-propanol (III), which by reaction with refluxing SOCl2 yields the corresponding propyl chloride (IV). The condensation of (IV) with 4-hydroxy-3,5-dimethylbenzonitrile (V) [obtained by reaction of 4-bromo-2,6-dimethylphenol (VI) with Cu2CN2 in refluxing DMF] by means of K2CO3 and KI in hot N-methylpyrrolidone affords 3,5-dimethyl-4-[3-(3-methylisoxazol-5-yl)propoxy]benzonitrile (VII). The reaction of (VII) with hydroxylamine (VIII) and K2CO3 in refluxing ethanol gives the corresponding benzohydroxamic acid (IX), which is finally cyclized with refluxing trifluoroacetic anhydride and pyridine.

参考文献No.390204
标题:VP-63843
作者:Fromtling, R.A.; Casta馿r, J.
来源:Drugs Fut 1997,22(1),40
合成路线图解说明:

The condensation of 3,5-dimethylisoxazole (I) with ethylene oxide (II) by means of butyllithium in THF gives 3-(3-methylisoxazol-5-yl)-1-propanol (III), which by reaction with refluxing SOCl2 yields the corresponding propyl chloride (IV). The condensation of (IV) with 4-hydroxy-3,5-dimethylbenzonitrile (V) [obtained by reaction of 4-bromo-2,6-dimethylphenol (VI) with Cu2CN2 in refluxing DMF] by means of K2CO3 and KI in hot N-methylpyrrolidone affords 3,5-dimethyl-4-[3-(3-methylisoxazol-5-yl)propoxy]benzonitrile (VII). The reaction of (VII) with hydroxylamine (VIII) and K2CO3 in refluxing ethanol gives the corresponding benzohydroxamic acid (IX), which is finally cyclized with refluxing trifluoroacetic anhydride and pyridine.

参考文献No.398911
标题:Picornavirus inhibitors: Trifluoromethyl substitution provides a global protective effect against hepatic metabolism
作者:Pevear, D.C.; Rudewicz, P.; Diana, G.D.; Nitz, T.J.; Aldous, S.C.; Aldous, D.J.; Robinson, D.T.; Draper, T.; Dutko, F.J.; Aldi, C.; et al.
来源:J Med Chem 1995,381355-71
合成路线图解说明:

The condensation of 3,5-dimethylisoxazole (I) with ethylene oxide (II) by means of butyllithium in THF gives 3-(3-methylisoxazol-5-yl)-1-propanol (III), which by reaction with refluxing SOCl2 yields the corresponding propyl chloride (IV). The condensation of (IV) with 4-hydroxy-3,5-dimethylbenzonitrile (V) [obtained by reaction of 4-bromo-2,6-dimethylphenol (VI) with Cu2CN2 in refluxing DMF] by means of K2CO3 and KI in hot N-methylpyrrolidone affords 3,5-dimethyl-4-[3-(3-methylisoxazol-5-yl)propoxy]benzonitrile (VII). The reaction of (VII) with hydroxylamine (VIII) and K2CO3 in refluxing ethanol gives the corresponding benzohydroxamic acid (IX), which is finally cyclized with refluxing trifluoroacetic anhydride and pyridine.

Drug Information Express,Drug R&D,Chemical Database,Patent Search.
Copyright © 2006-2026 Drug Future. All rights reserved.Contact Us