【药物名称】LY-307853
化学结构式(Chemical Structure):
参考文献No.471299
标题:Studies on the phosphorylation of LY303366
作者:Udodong, U.E.; et al.
来源:Tetrahedron Lett 1998,39(34),6115
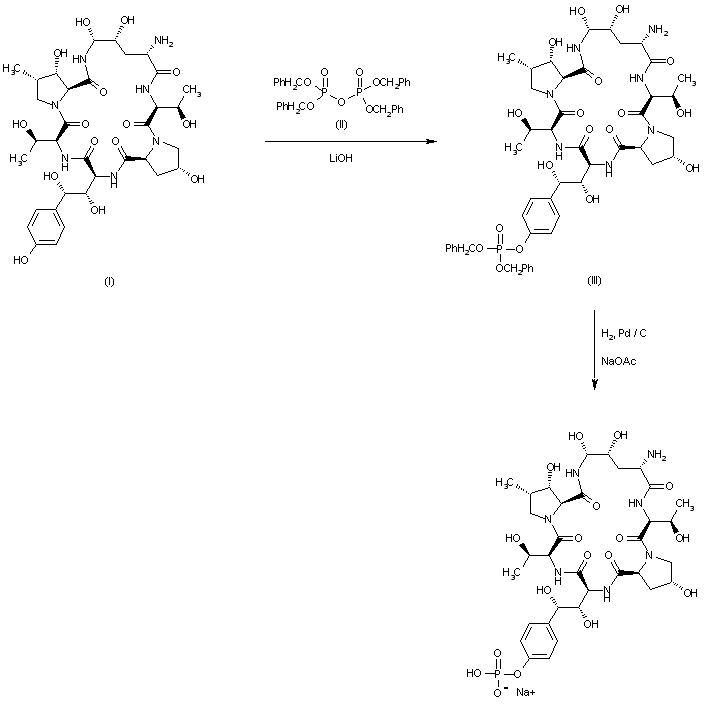
合成路线图解说明:

The synthesis of LY-307853 (the phosphate prodrug of LY-303366) has been performed: The phosphorylation of LY-303366 (I) with tetrabenzyl pyrophosphate (II) by means of LiOH in DMF gives dibenzyl phosphate (III), which is finally debenzylated by hydrogenation with H2 over Pd/C in the presence of sodium acetate.

Drug Information Express,Drug R&D,Chemical Database,Patent Search.
Copyright © 2006-2026 Drug Future. All rights reserved.Contact Us