【药物名称】FK-778, HMR-1715, X-920715, MNA-715
化学结构式(Chemical Structure):
参考文献No.21359
标题:Cyano-2-hydroxy-3-enamide derivs., process for their preparation, their use as drugs, pharmaceutical compsns. containing them and intermediates obtained
作者:Bartlett, R.R.; Kay, D.P.; Kuo, E.A.; Schleyerbach, R.; Schwab, W. (Aventis Pharma SA)
来源:EP 0551230; JP 1993310672; US 5308865
合成路线图解说明:

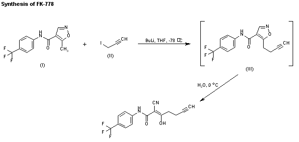
FK-778 is obtained by selective alkylation of leflunomide (I) at the methyl group with propargyl iodide (II) by means of butyl lithium in THF at ?8 C to give N-(4-trifluoromethylphenyl)-5-(3-butynyl)isoxazole-4-carboxamide (III), which is finally treated with water at 0 C.

参考文献No.468505
标题:Leflunomide < Rec INN >
作者:Graul, A.; Casta馿r, J.
来源:Drugs Fut 1998,23(8),827
合成路线图解说明:

FK-778 is obtained by selective alkylation of leflunomide (I) at the methyl group with propargyl iodide (II) by means of butyl lithium in THF at ?8 C to give N-(4-trifluoromethylphenyl)-5-(3-butynyl)isoxazole-4-carboxamide (III), which is finally treated with water at 0 C.

参考文献No.692502
标题:FK-778
作者:Cullell-Young, M.; Casta馿r, R.M.; Leeson, P.A.
来源:Drugs Fut 2002,27(8),733
合成路线图解说明:

FK-778 is obtained by selective alkylation of leflunomide (I) at the methyl group with propargyl iodide (II) by means of butyl lithium in THF at ?8 C to give N-(4-trifluoromethylphenyl)-5-(3-butynyl)isoxazole-4-carboxamide (III), which is finally treated with water at 0 C.

Drug Information Express,Drug R&D,Chemical Database,Patent Search.
Copyright © 2006-2026 Drug Future. All rights reserved.Contact Us