【药物名称】Cadrofloxacin hydrochloride, CS-940
化学结构式(Chemical Structure):
参考文献No.11884
标题:4-Oxoquinoline-3-carboxylic acid derivs., their preparation and their use
作者:Iwata, M.; Kimura, T.; Inoue, T.; Fujihara, Y.; Katsube, T. (Sankyo Co., Ltd.; Ube Industries, Ltd.)
来源:AU 8938218; EP 0352123; EP 0610958; JP 1990124873; JP 1990231476; JP 1993255183; US 5002947; US 5073556; US 5348961
合成路线图解说明:

Decarboxylation of 3,5,6-trifluoro-4-hydroxyphthalic acid (I) upon heating at 140 C in an autoclave furnished 2,4,5-trifluoro-3-hydroxybenzoic acid (II). This was converted to ethyl ester (III) by refluxing in EtOH in the presence of H2SO4. Condensation of (III) with chlorodifluoromethane and NaH in hot DMF produced the corresponding difluoromethyl ether, and subsequent basic hydrolysis of the ethyl ester yielded 3-(difluoromethoxy)-2,4,5-trifluorobenzoic acid (IV). Alternatively, acid (II) was converted to acid chloride with SOCl2 and subsequently condensed with ammonia to give amide (V). After formation of the difluoromethyl ether (VI) under similar conditions as above, acid (IV) was obtained by diazotization of the amide function of (VI) in hot sulfuric acid. The difluoromethoxy acid (IV) was also prepared by direct alkylation of hydroxy acid (II) with chlorodifluoromethane in the presence of NaOH in hot DMF. Acid (IV) was activated as the corresponding acid chloride (VII) with SOCl2. Condensation of acid chloride (VII) with the magnesium salt of diethyl malonate gave rise to the benzoylmalonate (VIII). Further decarbethoxylation of (VIII) by heating in the presence of p-toluenesulfonic acid yielded keto ester (IX). This was condensed with triethyl orthoformate in the presence of Ac2O to give the ethoxyacrylate (X), which was converted to enamine (XII) by treatment with cyclopropylamine (XI). The target quinolone system (XIII) was then obtained by intramolecular cyclization of (XII) in the presence of NaH. Then, ethyl ester (XII) cleavage using boron trifluoride etherate provided the key quinolonecarboxylic acid boron chelate (XIV)

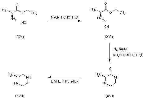
合成路线图解说明:

The chiral piperazine building block (XVIII) was prepared as follows. L-Alanine ethyl ester (XV) was condensed with formaldehyde and NaCN to give the amino nitrile (XVI). Catalytic hydrogenation of the cyano group of (XVI) with simultaneous intramolecular cyclization furnished the piperazinone (XVII). This was reduced to the target (S)-2-methylpiperazine (XVIII) by means of LiAlH4 (1).

合成路线图解说明:

Condensation of fluoroquinolone (XIV) with piperazine (XVIII) afforded the piperazinyl quinolone adduct (XIX). Then, boron chelate cleavage in (XIX) by refluxing in the presence of Et3N, followed by treatment with HCl provided the title compound

Drug Information Express,Drug R&D,Chemical Database,Patent Search.
Copyright © 2006-2026 Drug Future. All rights reserved.Contact Us