【药物名称】Diepoxin-sigma, Sch-49209, LL-07F275-sigma
化学结构式(Chemical Structure):
参考文献No.598870
标题:Formal total synthesis of (+)-diepoxin sigma
作者:Wipf, P.; Jung, J.-K.
来源:J Org Chem 2000,65(20),6319
合成路线图解说明:

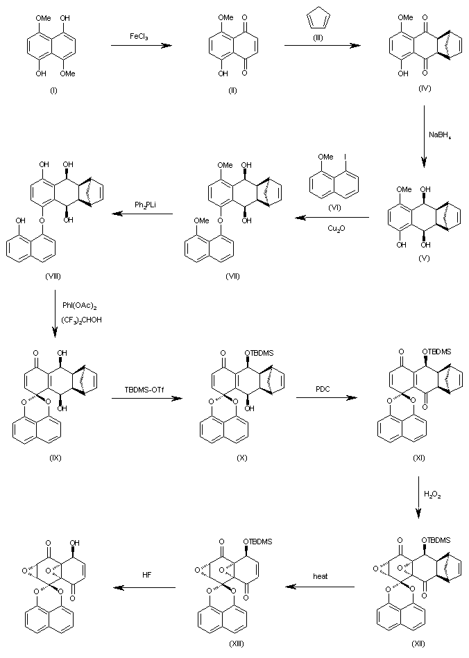
The oxidation of 4,8-dimethoxynaphthalene-1,5-diol (I) with FeCl3 in CH3CN/MeOH gives the naphthoquinone (II), which is submitted to a Diels Alder condensation with cyclopentadiene (III) yielding the methanoanthraquinone (IV). The reduction of (IV) with NaBH4 in THF/methanol affords the triol (V), which is condensed with 1-iodo-8-methoxynaphthalene (VI) by means of Cu2O in refluxing pyridine providing the diaryl ether (VII). The demethylation of (VII) by means of lithium diphenylphosphine in THF gives the tetrahydroxy compound (VIII), which is cyclized by means of PhI(OAc)2 in hexafluoroisopropanol yielding the spiro-13-dioxane derivative (IX). The selective silylation of (IX) with TBDMS-OTf and lutidine in dichloromethane affords the silyl ether (X), which is oxidized with pyridinium dichromate (PDC) in DMF to provide the diketonic compound (XI). The epoxidation of (XI) with H2O2 and K2CO3 in THF/water gives the diepoxy compound (XII), which is submitted to a retro Diels Alder reaction in refluxing diphenyl ether yielding the silylated precursor (XIII). Finally this compound is desilylated with HF in acetonitrile/water.

Drug Information Express,Drug R&D,Chemical Database,Patent Search.
Copyright © 2006-2026 Drug Future. All rights reserved.Contact Us