【药物名称】Plevitrexed, BGC-9331, ZD-9331, Vamidex
化学结构式(Chemical Structure):
参考文献No.549976
标题:Design and synthesis of potent non-polyglutamatable quinazoline antifolate thymidylate synthase inhibitors
作者:Marsham, P.R.; Wardleworth, M.; Boyle, F.T.; Hennequin, L.F.; Kimbell, R.; Brown, M.; Jackman, A.L.
来源:J Med Chem 1999,42(19),3809
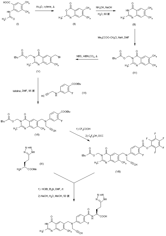
合成路线图解说明:

Cyclization of N-acetyl dimethylanthranilic acid (I) with acetic anhydride produced benzoxazinone (II) which, upon treatment with aqueous ammonia, furnished trimethylquinazolinone (III). Incorporation of the N-(pivaloyloxy)methyl (POM) protecting group of (III) gave (IV), and subsequent regioselective bromination with N-bromosuccinimide in the presence of AIBN yielded the 6-bromomethyl compound (V). Condensation of (V) with p-aminobenzoate derivative (VI) afforded tertiary amine (VII). After trifluoroacetic acid-promoted cleavage of the tert-butyl ester of (VII), coupling with pentafluorophenol in the presence of DCC provided pentafluorophenyl ester (VIII). The title compound was then obtained by condensation of (VIII) with the tetrazolyl aminoester (IX) in the presence of 1-hydroxybenzotriazole, followed by basic hydrolysis of both methyl ester and POM protecting group.

参考文献No.608290
标题:Quinazoline antifolate thymidylate synthase inhibitors: replacement of glutamic acid in the C2-methyl series
作者:Marsham, P.R.; Jackman, A.L.; Barker, A.J.; Boyle, F.T.; Pegg, S.J.; Wardleworth, J.M.; Kimbell, R.; O'Connor, B.M.; Calvert, A.H.; Hughes, L.R.
来源:J Med Chem 1995,38(6),994-1004
合成路线图解说明:

Cyclization of N-acetyl dimethylanthranilic acid (I) with acetic anhydride produced benzoxazinone (II) which, upon treatment with aqueous ammonia, furnished trimethylquinazolinone (III). Incorporation of the N-(pivaloyloxy)methyl (POM) protecting group of (III) gave (IV), and subsequent regioselective bromination with N-bromosuccinimide in the presence of AIBN yielded the 6-bromomethyl compound (V). Condensation of (V) with p-aminobenzoate derivative (VI) afforded tertiary amine (VII). After trifluoroacetic acid-promoted cleavage of the tert-butyl ester of (VII), coupling with pentafluorophenol in the presence of DCC provided pentafluorophenyl ester (VIII). The title compound was then obtained by condensation of (VIII) with the tetrazolyl aminoester (IX) in the presence of 1-hydroxybenzotriazole, followed by basic hydrolysis of both methyl ester and POM protecting group.

Drug Information Express,Drug R&D,Chemical Database,Patent Search.
Copyright © 2006-2026 Drug Future. All rights reserved.Contact Us