【药物名称】NC-1800
化学结构式(Chemical Structure):
参考文献No.546570
标题:Synthesis of optically active NC-1800, a therapeutic agent for urinary disturbance
作者:Yoshida, S.; Yamamoto, M.; Mochizuki, N.; Nohira, H.
来源:Chem Pharm Bull 1999,47(8),1154
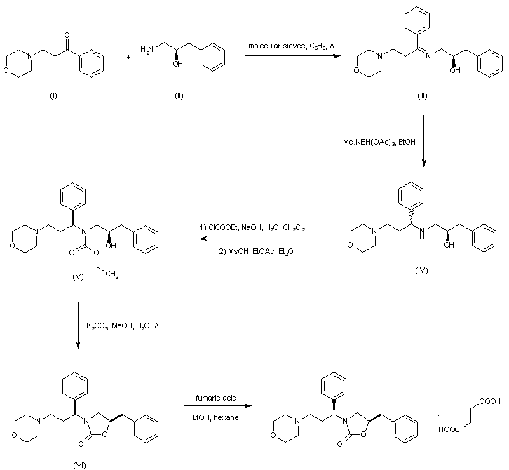
合成路线图解说明:

The condensation of (R)-1-amino-3-phenyl-2-propanol (I) with 1-phenyl-3-(4-morpholinyl)-1-propanone (II) in benzene with azeotropic removal of water furnished the intermediate imine (III), which was reduced employing tetramethylammonium triacetoxyborohydride to produce aminoalcohol (IV) as a 2:1 diastereomeric mixture. Treatment of this mixture with ethyl chloroformate gave a mixture of carbamates, from which the required (1S,2R)-diastereoisomer (V) was isolated by recrystallization as the methanesulfonate salt. Cyclization of (V) with K2CO3 then yielded oxazolidinone (VI). This was finally treated with fumaric acid to provide the title fumarate salt.

Drug Information Express,Drug R&D,Chemical Database,Patent Search.
Copyright © 2006-2026 Drug Future. All rights reserved.Contact Us