【药物名称】NNC-19-1228
化学结构式(Chemical Structure):
参考文献No.21244
标题:Chemical cpds., their preparation and use
作者:Hansen, J.B.; Jeppesen, L.; Gr鴑vald, F.C. (Novo Nordisk A/S)
来源:EP 0679085; JP 1995502268; US 5378714; WO 9310742
合成路线图解说明:

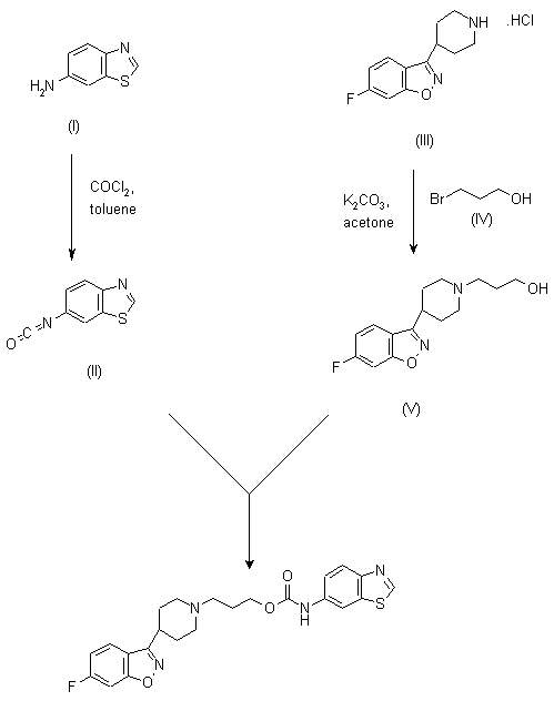
Reaction of 6-aminobenzothiazole (I) with phosgene in refluxing tolene affords isocyanate (II). Alkylation of 6-fluoro-3-(4-piperidinyl)-1,2-bensisoxazole hydrochloride (III) with 3-bromopropanol (IV) in the presence of potassium carbonate in acetone gave alcohol (V). Finally, condensation of this alcohol (V) with isocyanate (II) in DMF at 100 C yielded the title carbamate.

Drug Information Express,Drug R&D,Chemical Database,Patent Search.
Copyright © 2006-2026 Drug Future. All rights reserved.Contact Us