【药物名称】Emivirine, MKC-442, Coactinon
化学结构式(Chemical Structure):
参考文献No.26084
标题:Antiviral combinations of 2',3'-dideoxyribonucleosides with 6-benzyl-1-ethoxymethyl-5-substd. uracil derivs.
作者:Ubasawa, M.; Yuasa, S. (Mitsubishi Chemical Corp.)
来源:EP 0631783; JP 1995097324
合成路线图解说明:

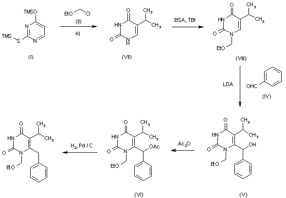
The reaction of 5-isopropyluracil (VII) with chloromethyl ethyl ether (II) by means of bis(trimethylsilyl)acetamide (BSA) and tetrabutylammonium iodide (TBI) in dichloromethane gives 1-(ethoxy-methyl)-5-isopropyluracil (VIII)(3), which is then condensed with benzaldehyde (IV) by means of LDA in THF to afford 1-(ethoxymethyl)-5-isopropyl-6-(alpha-hydroxybenzyl)uracil (V), already obtained.

参考文献No.42000
标题:Production of 6-aralkyl substituted pyrimidine derivative
作者:Ubasawa, M.; et al. (Mitsubishi Chemical Corp.)
来源:JP 1996003143
合成路线图解说明:

The reaction of 5-isopropyluracil (VII) with chloromethyl ethyl ether (II) by means of bis(trimethylsilyl)acetamide (BSA) and tetrabutylammonium iodide (TBI) in dichloromethane gives 1-(ethoxy-methyl)-5-isopropyluracil (VIII)(3), which is then condensed with benzaldehyde (IV) by means of LDA in THF to afford 1-(ethoxymethyl)-5-isopropyl-6-(alpha-hydroxybenzyl)uracil (V), already obtained.

参考文献No.324918
标题:HEPT derivatives: 6-benzyl-1-ethoxymethyl-5-isopropyluracil (MKC-442)
作者:Ubasawa, M.; Tanaka, H.; Walker, R.T.; Yuasa, S.; Miyasaka, T.; De Clerq, E.; Baba, M.
来源:Nucleosides Nucleotides 1995,14(3-5),575
合成路线图解说明:

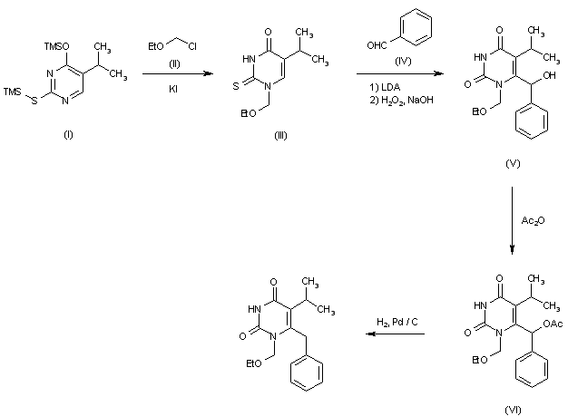
The reaction of the silylated 5-isopropylpyrimidine (I) with chloromethyl ethyl ether (II) by means of KI in dichloromethane gives 1-(ethoxymethyl)-5-isopropyl-2-thiouracil (III), which is condensed with benzaldehyde (IV) by means of lithium diisopropylamide (LDA) in THF, and desulfurized by reaction with H2O2 and NaOH in water to afford 1-(ethoxymethyl)-5-isopropyl-6-(alpha-hydroxybenzyl)uracil (V). The reaction of (V) with acetic anhydride and pyridine gives the acetate (VI), which is finally submitted to hydrogenolysis with H2 over Pd/C in acetic acid/water/dioxane.

参考文献No.331588
标题:Synthesis and antiviral activity of 6-benzyl analogs of 1-[(2-hydroxyethoxy)methyl]-6-(phenylthio)thymine (HEPT) as potent and selective anti-HIV-1 agents
作者:Tanaka, H.; Takashima, H.; Ubasawa, M.; Sekiya, K.; Inouye, N.; Baba, M.; Shigeta, S.; Walker, R.T.; De Clerq, E.; Miyasaka, T.
来源:J Med Chem 1995,38(15),2860
合成路线图解说明:

The reaction of the silylated 5-isopropylpyrimidine (I) with chloromethyl ethyl ether (II) by means of KI in dichloromethane gives 1-(ethoxymethyl)-5-isopropyl-2-thiouracil (III), which is condensed with benzaldehyde (IV) by means of lithium diisopropylamide (LDA) in THF, and desulfurized by reaction with H2O2 and NaOH in water to afford 1-(ethoxymethyl)-5-isopropyl-6-(alpha-hydroxybenzyl)uracil (V). The reaction of (V) with acetic anhydride and pyridine gives the acetate (VI), which is finally submitted to hydrogenolysis with H2 over Pd/C in acetic acid/water/dioxane.

合成路线图解说明:

Lithiation of 1-(ethoxymethyl)-5-isopropyl-2-thiouracil (I) by means of LDA in cold THF, followed by condensation with 3,5-dimethylbenzaldehyde (II) gave the 6-(alpha-hydroxybenzyl) derivative (III). Oxidative hydrolysis of the thione function of (III) with H2O2 afforded the corresponding uracil (IV). Acetylation of (IV) with Ac2O in pyridine provided acetate ester (V), which was subjected to hydrogenolysis in the presence of Pd/C to furnish the title benzyl derivative.

参考文献No.558618
标题:Synthesis and potent anti-HIV-1 activity of novel 6-benzyluracil analogues of 1-[(2-hydroxyethoxy)methyl]-6-(phenylthio)thymine
作者:Danel, K.; Larsen, D.K.; Pedersen, E.B.; Vestergaard, B.F.; Nielsen, C.K.
来源:J Med Chem 1996,39(12),2427
合成路线图解说明:

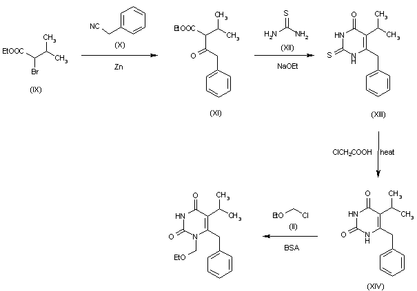
The condensation of ethyl 2-bromo-3-methylbutyrate (IX) with phenylacetonitrile (X) by means of activated Zn in THF gives the ethyl 2-isopropyl-3-oxo-4-phenylbutyrate (XI), which is cyclized with thiourea (XII) by means of sodium ethoxide in refluxing ethanol yielding 6-benzyl-5-isopropyl-2-thioracil (XIII). The desulfurization of (XIII) with a refluxing solution of 10% chloroacetic acid in water affords the corresponding uracil (XIV), which is finally alkylated with chloromethyl ethyl ether (II) and BSA in chloroform.

Drug Information Express,Drug R&D,Chemical Database,Patent Search.
Copyright © 2006-2026 Drug Future. All rights reserved.Contact Us