【药物名称】HA-188, BMD-188
化学结构式(Chemical Structure):
参考文献No.20917
标题:Cyclic hydroxamic acids
作者:Honn, K.V.; Johnson, C.R.; Chen, Y.-F.; Shimoji, K.; Marnett, L.J. (Vanderbilt University; Wayne State University)
来源:US 5234933; WO 9308803
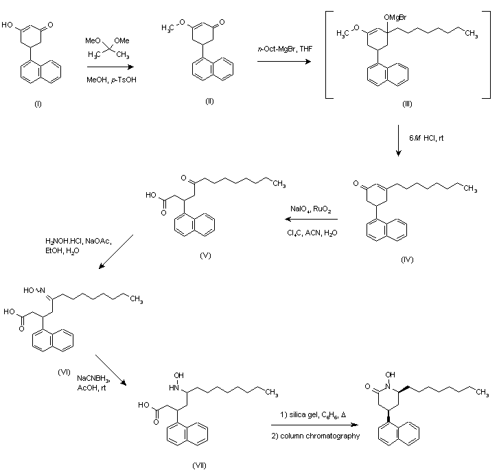
合成路线图解说明:

Treatment of 5-(1-naphthyl)cyclohexane-1,3-dione (I) with 2,2-dimethoxypropane and MeOH in the presence of p-toluenesulfonic acid provided enol ether (II). Condensation of (II) with n-octylmagnesium bromide in cold THF, followed by acidic treatment of intermediate (III) yielded enone (IV). The subsequent oxidative cleavage of (IV) with NaIO4 and a catalytic amount of ruthenium oxide gave ketoacid (V), which was converted into the oxime (VI) on treatment with hydroxylamine. Reduction of oxime (VI) with NaBH4 in AcOH gave the hydroxylamine (VII). Then, cyclization to the piperidone acid in the presence of silica gel in refluxing benzene, followed by chromatographic separation of the cis isomer, provided the target compound.

Drug Information Express,Drug R&D,Chemical Database,Patent Search.
Copyright © 2006-2026 Drug Future. All rights reserved.Contact Us