【药物名称】100240, M-100240, MDL-100240
化学结构式(Chemical Structure):
参考文献No.17514
标题:Novel mercaptoacetylamide derivs. useful as inhibitors of enkephalinase and ACE
作者:Flynn, G.A.; Warshawsky, A.M.; Mehdi, S.; Bey, P.; Beight, D.W.; Giroux, E.L.; Burkholder, T.P. (Merrell Pharmaceuticals, Inc.)
来源:EP 0481522; JP 1992282382; US 5430145
合成路线图解说明:

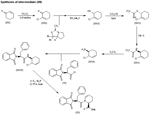
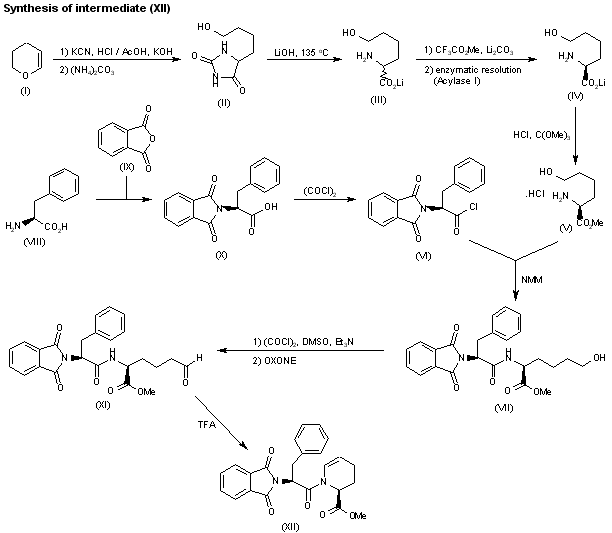
Reaction of 3,4-dihydro-2H-pyran (I) with potassium cyanide, HCl/HOAc and KOH in H2O, followed by treatment with ammonium carbonate in H2O provides hydantoin (II). Hydrolysis of compound (II) with LiOH in H2O at 135 C gives the racemic lithium salt (III), which by treatment with methyl trifluoroacetate and Li2CO3 in a refluxing mixture of BuOH/MeOH followed by enzymatic resolution with acylase I leads to the optically pure (S)-enantiomer (IV). Compound (IV) is converted into its corresponding methyl ester (V) using trimethyl orthoformate and HCl in refluxing MeOH. The ester (V) is then coupled with N-phthaloyl-L-phenylalanine acid chloride (VI) by means of NMM in DMF/CH2Cl2 to provide the alpha-amino-omega-hydroxyhexanoic acid derivative (VII). Compound (VI) is prepared separately from L-phenylalanine (VIII) by reaction with phthalic anhydride (IX) in refluxing toluene or DMF to yield compound (X), which is treated with oxalyl chloride in refluxing toluene in the presence of DMF or in DMF/CH2Cl2. Oxidation of (VII) under Swern conditions [(COCl)2, DMSO and Et3N] followed by treatment with Oxone (potassium peroxymonosulfate) provides aldehyde (XI), which is then subjected to cyclization by means of TFA in CH2Cl2 to furnish the tetrahydropyridine derivative (XII).

合成路线图解说明:

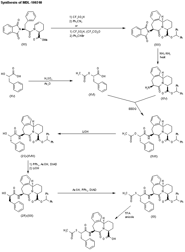
Simultaneous cyclization and ester hydrolysis of compound (XII) with either trifluoromethanesulfonic acid/trifluoroacetic anhydride in CH2Cl2 or trifluoromethanesulfonic acid, followed by reesterification with either bromodiphenylmethane and Cs2CO3 in DMF or diphenyldiazomethane (Ph2CN2) in CH2Cl2, results in the ester (XIII). Removal of the phthaloyl moiety of compound (XIII) by treatment with hydrazine monohydrate in refluxing MeOH affords the amino derivative (XIV), which is coupled with (S)-3-phenyl-2-acetoxypropionic acid (XVI) [obtained by acetylation of (S)-3-phenyllactic acid (XV) with Ac2O and H2SO4] by means of EEDQ in CH2Cl2 to give amide (XVII). Deacetylation of (XVII) by saponification with LiOH in EtOH provides the hydroxy-amide (2S)-(XVIII), which is then converted into its diastereomer (2R)-(XIX) by reaction with PPh3, AcOH and DIAD in THF followed by treatment with LiOH in MeOH. Thioacetylation of (2R)-(XIX) by means of thioacetic acid, DIAD and PPh3 in THF provides compound (XX), which is finally hydrolyzed at the diphenylmethyl group with TFA and anisole.

参考文献No.55327
标题:Novel process for preparing (S)-1-[2(S)-(1,3-dihydro-1,3-dioxo-isoindo-2-yl)-1-oxo-3-phenylpropyl]-1,2,3,4-tetrahydro-2-pyridine-carboxylic acid methyl ester and intermediates thereof
作者:Flynn, G.A. (Merrell Pharmaceuticals, Inc.)
来源:WO 9514663
合成路线图解说明:

Simultaneous cyclization and ester hydrolysis of compound (XII) with either trifluoromethanesulfonic acid/trifluoroacetic anhydride in CH2Cl2 or trifluoromethanesulfonic acid, followed by reesterification with either bromodiphenylmethane and Cs2CO3 in DMF or diphenyldiazomethane (Ph2CN2) in CH2Cl2, results in the ester (XIII). Removal of the phthaloyl moiety of compound (XIII) by treatment with hydrazine monohydrate in refluxing MeOH affords the amino derivative (XIV), which is coupled with (S)-3-phenyl-2-acetoxypropionic acid (XVI) [obtained by acetylation of (S)-3-phenyllactic acid (XV) with Ac2O and H2SO4] by means of EEDQ in CH2Cl2 to give amide (XVII). Deacetylation of (XVII) by saponification with LiOH in EtOH provides the hydroxy-amide (2S)-(XVIII), which is then converted into its diastereomer (2R)-(XIX) by reaction with PPh3, AcOH and DIAD in THF followed by treatment with LiOH in MeOH. Thioacetylation of (2R)-(XIX) by means of thioacetic acid, DIAD and PPh3 in THF provides compound (XX), which is finally hydrolyzed at the diphenylmethyl group with TFA and anisole.

合成路线图解说明:

Treatment of 2-cyclohexenone (XXI) with SO2Cl2 and 2,6-lutidine in dichloromethane provides 2-chloro-2-cyclohexenone (XXII), which is reduced with (S)-tetrahydro-1-methyl-3,3-diphenyl-1H,3H-pyrrolo[1,2-c][1,3,2]-oxazaborole and borane dimethyl sulfide complex in THF/MeOH giving (R)-2-chloro-2-cyclohexen-1-ol (XXIII). Reaction of (XXIII) with trichloroacetonitrile by means of NaH in diethyl ether gives the cyclohexenol derivative (XXIV), which is converted into acetamide (XXV) by heating at 140 C in chlorobenzene. Hydrolysis of (XXV) with K2CO3 in water/methanol affords (S)-2-chloro-2-cyclohexen-1-amine (XXVI), which is then condensed with N-phthaloyl-L-phenylalanine acid chloride (VI) in ethyl acetate to yield amide (XXVII). Finally, ozonolysis of amide (XXVII) in CH2Cl2/MeOH, followed by reduction with tributylphosphine and treatment with TFA in refluxing CH2Cl2 provides the previously described intermediate (XII).

参考文献No.55328
标题:Novel processes for preparing intermediates of inhibitors of enkephalinase and angiotensin converting enzyme and intermediates thereof
作者:Flynn, G.A.; Beight, D.W.; Genin, M.J.; Bannister, T.D. (Aventis Pharmaceuticals, Inc.)
来源:WO 9619492
合成路线图解说明:

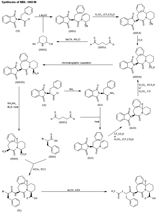
Treatment of N-phthaloyl-L-phenylalanine acid chloride (VI) with 2,6-dicyanopiperidine (XXXIII) [obtained by reaction of glutaric dialdehyde (XXXIV) with NaCN and ammonium chloride in water] by means of potassium tert-butoxide in ice/carbon tetrachloride gives the tetrahydropyridine derivative (XXXV), which is then subjected to cyclization with H2SO4 and trifluoroacetic acid anhydride to yield the benzazepine derivative (XXXVI). Hydrolysis of the cyano group of (XXXVI) with water yields the carboxylic acid (XXXVII), from which the desired diastereomer (XXXVIII) is separated by chromatography. Removal of the phthaloyl moiety of compound (XXXVIII) by treatment with hydrazine monohydrate and Et3N in refluxing MeOH affords the amino derivative (XXXIX), which is then condensed with 2(R)-bromopropionic acid (XXXI) by means of N-hydroxysuccinimide (HOSu) and 1,3-dicyclohexylcarbodiimide (DCC) in THF resulting in amide (XL). Finally, MDL-100240 is obtained by reaction of (XL) with thioacetic acid and KOH in acetone. Treatment of acid chloride (VI) with ammonia provides amide (XLI), which by reaction with glutaric dialdehyde (XXXIV) in refluxing CH2Cl2 affords the pyridine derivative (XLII). Cyclization of (XLII) with either trifluoromethanesulfonic acid in CH2Cl2 or H2SO4 and trifluoroacetic acid anhydride yields the pyridobenzodiazepine derivative (XLIII), which is finally converted into intermediate (XXXVIII) by introduction of a carboxylic group by reaction with either H2SO4 and formic acid or H2SO4 and carbon monoxide.

参考文献No.145928
标题:An acyl-iminium ion cyclization route to a novel conformationally restricted dipeptide mimic: Applications to angiotensin-converting enzyme inhibition
作者:Flynn, G.A.; et al.
来源:J Am Chem Soc 1987,1097914
合成路线图解说明:

Simultaneous cyclization and ester hydrolysis of compound (XII) with either trifluoromethanesulfonic acid/trifluoroacetic anhydride in CH2Cl2 or trifluoromethanesulfonic acid, followed by reesterification with either bromodiphenylmethane and Cs2CO3 in DMF or diphenyldiazomethane (Ph2CN2) in CH2Cl2, results in the ester (XIII). Removal of the phthaloyl moiety of compound (XIII) by treatment with hydrazine monohydrate in refluxing MeOH affords the amino derivative (XIV), which is coupled with (S)-3-phenyl-2-acetoxypropionic acid (XVI) [obtained by acetylation of (S)-3-phenyllactic acid (XV) with Ac2O and H2SO4] by means of EEDQ in CH2Cl2 to give amide (XVII). Deacetylation of (XVII) by saponification with LiOH in EtOH provides the hydroxy-amide (2S)-(XVIII), which is then converted into its diastereomer (2R)-(XIX) by reaction with PPh3, AcOH and DIAD in THF followed by treatment with LiOH in MeOH. Thioacetylation of (2R)-(XIX) by means of thioacetic acid, DIAD and PPh3 in THF provides compound (XX), which is finally hydrolyzed at the diphenylmethyl group with TFA and anisole.

合成路线图解说明:

N-Phthaloyl-L-phenylalanine (X) is coupled to the racemic unsaturated amine (XXVIII) by means of EEDQ in dichloromethane to provide amide (XXIX), which is converted into a mixture of diastereomeric amides (XXX) by ozonolysis in CH2Cl2/MeOH, followed by reduction with dimethyl sulfide in pyridine and dehydration with TFA in refluxing CH2Cl2. Finally, chromatographic separation of this mixture by HPLC yields the previously described intermediate (XII).

参考文献No.381072
标题:Application of a conformationally restricted Phe-Leu dipeptide mimetic to the design of a combined inhibitor of angiotensin I-converting enzyme and neutral endopeptidase 24.11
作者:Flynn, G.A.; Beight, D.W.; Mehdi, S.; Koehl, J.R.; Giroux, E.L.; French, J.F.; Hake, P.W.; Dage, R.C.
来源:J Med Chem 1993,36(16),2420
合成路线图解说明:

Reaction of compound (XIV) with 2(R)-bromopropionic acid (XXXI) by means of EEDQ in CH2Cl2 affords amide (XXXII), which is treated with thioacetic acid and Cs2CO3 in DMF to give the protected thioacetate derivative (XX). Finally, the diphenylmethyl ester group of (XX) is removed by hydrolysis with TFA and anisole.

参考文献No.563504
标题:Process development in the synthesis of the ACE intermediate MDL 28,726
作者:Horgan, S.W.; Burkhouse, D.W.; Cregge, R.J.; et al.
来源:Org Process Res Dev 1999,3(4),241
合成路线图解说明:

Reaction of 3,4-dihydro-2H-pyran (I) with potassium cyanide, HCl/HOAc and KOH in H2O, followed by treatment with ammonium carbonate in H2O provides hydantoin (II). Hydrolysis of compound (II) with LiOH in H2O at 135 C gives the racemic lithium salt (III), which by treatment with methyl trifluoroacetate and Li2CO3 in a refluxing mixture of BuOH/MeOH followed by enzymatic resolution with acylase I leads to the optically pure (S)-enantiomer (IV). Compound (IV) is converted into its corresponding methyl ester (V) using trimethyl orthoformate and HCl in refluxing MeOH. The ester (V) is then coupled with N-phthaloyl-L-phenylalanine acid chloride (VI) by means of NMM in DMF/CH2Cl2 to provide the alpha-amino-omega-hydroxyhexanoic acid derivative (VII). Compound (VI) is prepared separately from L-phenylalanine (VIII) by reaction with phthalic anhydride (IX) in refluxing toluene or DMF to yield compound (X), which is treated with oxalyl chloride in refluxing toluene in the presence of DMF or in DMF/CH2Cl2. Oxidation of (VII) under Swern conditions [(COCl)2, DMSO and Et3N] followed by treatment with Oxone (potassium peroxymonosulfate) provides aldehyde (XI), which is then subjected to cyclization by means of TFA in CH2Cl2 to furnish the tetrahydropyridine derivative (XII).

合成路线图解说明:

Simultaneous cyclization and ester hydrolysis of compound (XII) with either trifluoromethanesulfonic acid/trifluoroacetic anhydride in CH2Cl2 or trifluoromethanesulfonic acid, followed by reesterification with either bromodiphenylmethane and Cs2CO3 in DMF or diphenyldiazomethane (Ph2CN2) in CH2Cl2, results in the ester (XIII). Removal of the phthaloyl moiety of compound (XIII) by treatment with hydrazine monohydrate in refluxing MeOH affords the amino derivative (XIV), which is coupled with (S)-3-phenyl-2-acetoxypropionic acid (XVI) [obtained by acetylation of (S)-3-phenyllactic acid (XV) with Ac2O and H2SO4] by means of EEDQ in CH2Cl2 to give amide (XVII). Deacetylation of (XVII) by saponification with LiOH in EtOH provides the hydroxy-amide (2S)-(XVIII), which is then converted into its diastereomer (2R)-(XIX) by reaction with PPh3, AcOH and DIAD in THF followed by treatment with LiOH in MeOH. Thioacetylation of (2R)-(XIX) by means of thioacetic acid, DIAD and PPh3 in THF provides compound (XX), which is finally hydrolyzed at the diphenylmethyl group with TFA and anisole.

参考文献No.673379
标题:MDL-100240
作者:del Fresno, M.; Bay閟, M.; Casta馿r, R.M.; Sorbera, L.A.
来源:Drugs Fut 2002,27(5),458
合成路线图解说明:

Reaction of 3,4-dihydro-2H-pyran (I) with potassium cyanide, HCl/HOAc and KOH in H2O, followed by treatment with ammonium carbonate in H2O provides hydantoin (II). Hydrolysis of compound (II) with LiOH in H2O at 135 C gives the racemic lithium salt (III), which by treatment with methyl trifluoroacetate and Li2CO3 in a refluxing mixture of BuOH/MeOH followed by enzymatic resolution with acylase I leads to the optically pure (S)-enantiomer (IV). Compound (IV) is converted into its corresponding methyl ester (V) using trimethyl orthoformate and HCl in refluxing MeOH. The ester (V) is then coupled with N-phthaloyl-L-phenylalanine acid chloride (VI) by means of NMM in DMF/CH2Cl2 to provide the alpha-amino-omega-hydroxyhexanoic acid derivative (VII). Compound (VI) is prepared separately from L-phenylalanine (VIII) by reaction with phthalic anhydride (IX) in refluxing toluene or DMF to yield compound (X), which is treated with oxalyl chloride in refluxing toluene in the presence of DMF or in DMF/CH2Cl2. Oxidation of (VII) under Swern conditions [(COCl)2, DMSO and Et3N] followed by treatment with Oxone (potassium peroxymonosulfate) provides aldehyde (XI), which is then subjected to cyclization by means of TFA in CH2Cl2 to furnish the tetrahydropyridine derivative (XII).

合成路线图解说明:

Simultaneous cyclization and ester hydrolysis of compound (XII) with either trifluoromethanesulfonic acid/trifluoroacetic anhydride in CH2Cl2 or trifluoromethanesulfonic acid, followed by reesterification with either bromodiphenylmethane and Cs2CO3 in DMF or diphenyldiazomethane (Ph2CN2) in CH2Cl2, results in the ester (XIII). Removal of the phthaloyl moiety of compound (XIII) by treatment with hydrazine monohydrate in refluxing MeOH affords the amino derivative (XIV), which is coupled with (S)-3-phenyl-2-acetoxypropionic acid (XVI) [obtained by acetylation of (S)-3-phenyllactic acid (XV) with Ac2O and H2SO4] by means of EEDQ in CH2Cl2 to give amide (XVII). Deacetylation of (XVII) by saponification with LiOH in EtOH provides the hydroxy-amide (2S)-(XVIII), which is then converted into its diastereomer (2R)-(XIX) by reaction with PPh3, AcOH and DIAD in THF followed by treatment with LiOH in MeOH. Thioacetylation of (2R)-(XIX) by means of thioacetic acid, DIAD and PPh3 in THF provides compound (XX), which is finally hydrolyzed at the diphenylmethyl group with TFA and anisole.

合成路线图解说明:

Treatment of 2-cyclohexenone (XXI) with SO2Cl2 and 2,6-lutidine in dichloromethane provides 2-chloro-2-cyclohexenone (XXII), which is reduced with (S)-tetrahydro-1-methyl-3,3-diphenyl-1H,3H-pyrrolo[1,2-c][1,3,2]-oxazaborole and borane dimethyl sulfide complex in THF/MeOH giving (R)-2-chloro-2-cyclohexen-1-ol (XXIII). Reaction of (XXIII) with trichloroacetonitrile by means of NaH in diethyl ether gives the cyclohexenol derivative (XXIV), which is converted into acetamide (XXV) by heating at 140 C in chlorobenzene. Hydrolysis of (XXV) with K2CO3 in water/methanol affords (S)-2-chloro-2-cyclohexen-1-amine (XXVI), which is then condensed with N-phthaloyl-L-phenylalanine acid chloride (VI) in ethyl acetate to yield amide (XXVII). Finally, ozonolysis of amide (XXVII) in CH2Cl2/MeOH, followed by reduction with tributylphosphine and treatment with TFA in refluxing CH2Cl2 provides the previously described intermediate (XII).

合成路线图解说明:

N-Phthaloyl-L-phenylalanine (X) is coupled to the racemic unsaturated amine (XXVIII) by means of EEDQ in dichloromethane to provide amide (XXIX), which is converted into a mixture of diastereomeric amides (XXX) by ozonolysis in CH2Cl2/MeOH, followed by reduction with dimethyl sulfide in pyridine and dehydration with TFA in refluxing CH2Cl2. Finally, chromatographic separation of this mixture by HPLC yields the previously described intermediate (XII).

合成路线图解说明:

Reaction of compound (XIV) with 2(R)-bromopropionic acid (XXXI) by means of EEDQ in CH2Cl2 affords amide (XXXII), which is treated with thioacetic acid and Cs2CO3 in DMF to give the protected thioacetate derivative (XX). Finally, the diphenylmethyl ester group of (XX) is removed by hydrolysis with TFA and anisole.

合成路线图解说明:

Treatment of N-phthaloyl-L-phenylalanine acid chloride (VI) with 2,6-dicyanopiperidine (XXXIII) [obtained by reaction of glutaric dialdehyde (XXXIV) with NaCN and ammonium chloride in water] by means of potassium tert-butoxide in ice/carbon tetrachloride gives the tetrahydropyridine derivative (XXXV), which is then subjected to cyclization with H2SO4 and trifluoroacetic acid anhydride to yield the benzazepine derivative (XXXVI). Hydrolysis of the cyano group of (XXXVI) with water yields the carboxylic acid (XXXVII), from which the desired diastereomer (XXXVIII) is separated by chromatography. Removal of the phthaloyl moiety of compound (XXXVIII) by treatment with hydrazine monohydrate and Et3N in refluxing MeOH affords the amino derivative (XXXIX), which is then condensed with 2(R)-bromopropionic acid (XXXI) by means of N-hydroxysuccinimide (HOSu) and 1,3-dicyclohexylcarbodiimide (DCC) in THF resulting in amide (XL). Finally, MDL-100240 is obtained by reaction of (XL) with thioacetic acid and KOH in acetone. Treatment of acid chloride (VI) with ammonia provides amide (XLI), which by reaction with glutaric dialdehyde (XXXIV) in refluxing CH2Cl2 affords the pyridine derivative (XLII). Cyclization of (XLII) with either trifluoromethanesulfonic acid in CH2Cl2 or H2SO4 and trifluoroacetic acid anhydride yields the pyridobenzodiazepine derivative (XLIII), which is finally converted into intermediate (XXXVIII) by introduction of a carboxylic group by reaction with either H2SO4 and formic acid or H2SO4 and carbon monoxide.

Drug Information Express,Drug R&D,Chemical Database,Patent Search.
Copyright © 2006-2026 Drug Future. All rights reserved.Contact Us