【药物名称】Xemilofiban, CS-551, SC-54684A(HCl), SC-54684
化学结构式(Chemical Structure):
参考文献No.20814
标题:Substd. beta-amino acid derivs. useful as platelet aggregation inhibitors
作者:Bovy, P.R.; Rico, J.G.; Rogers, T.E.; Tjoeng, F.S.; Zablocki, J.A. (Pharmacia Corp.)
来源:EP 0542708; EP 0614360; JP 1995500111; US 5239113; WO 9307867
合成路线图解说明:

The reaction of 4-aminobenzamidine dihydrochloride (I) with succinic anhydride and pyridine in hot DMF gives the succinyl derivative (II), which is activated with isobutyl chloroformate and N-methylmorpholine (NMM) and then coupled to 3(S)-amino-4-pentynoic acid ethyl ester (III) in DMF or DMAc.

参考文献No.33915
标题:Process for the preparation of ethyl 3S-[4[[4-(aminoiminomethyl)phenyl]amino]-1,4-dioxobutyl]amino]-4-pentynoate
作者:Babiak, K.A.; Babu, S.; Behling, J.R.; Boys, M.L.; Cain-Janicki, K.J.; Doubleday, W.W.; Farid, P.; Hagen, T.J.; Hallinan, E.A.; Hansen, D.W. Jr.; Korte, D.E.; McLaughlin, K.T.; Medich, J.R.; Nugent, S.T.; et al. (Pharmacia Corp.)
来源:US 5536869
合成路线图解说明:

The reaction of 4-aminobenzamidine dihydrochloride (I) with succinic anhydride and pyridine in hot DMF gives the succinyl derivative (II), which is activated with isobutyl chloroformate and N-methylmorpholine (NMM) and then coupled to 3(S)-amino-4-pentynoic acid ethyl ester (III) in DMF or DMAc.

合成路线图解说明:

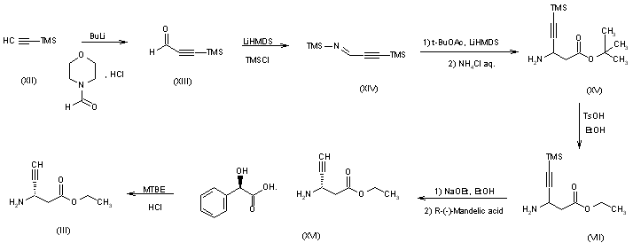
The ethyl ester (III), a chiral key intermediate of this synthesis, can be obtained as follows: 2) The treatment of (trimethylsilyl)acetylene (XII) with butyllithium and NMM in methyl tert-butyl ether (MTBE), followed by hydrolysis with aqueous HCl, gives 3-(trimethylsilyl)-2-propynal (XIII). Treatment of (XIII) with lithium bis(trimethylsilyl)amide (LiHMDS) and trimethylsilyl chloride at -20 C gives the imine (XIV), which is reacted in situ with lithium tert-butyl acetate followed by hydrolysis with aqueous NH4Cl to afford racemic tert-butyl ester (XV). Treatment of (XV) with refluxing ethanol in the presence of p-toluenesulfonic acid gives the corresponding ethyl ester (VII) (already obtained in the preceding scheme). Desilylation of (VII) with NaOEt/EtOH affords racemic 3-amino-4-pentynoic acid ethyl ester in situ, which is then resolved using R-(-)-mandelic acid in ethyl acetate/MTBE to give mandelic acid salt (XVI). Recrystallization of (XVI) from acetonitrile/MTBE and treatment with gaseous HCl in MTBE affords ethyl ester (III) as the hydrochloride.

参考文献No.323676
标题:Potent in vitro and in vivo inhibitors of platelet aggregation based upon the Arg-Gly-Asp sequence of fibrinogen. (Aminobenzamidino)succinyl (ABAS) series of orally active fibrinogen receptor antagonists
作者:Zablocki, J.A.; Rico, J.G.; Garland, R.B.; Rogers, T.E.; Williams, K.; Schretzman, L.A.; Rao, S.A.; Bovy, P.R.; Tjoeng, F.S.; Lindmark, R.J.; et al.
来源:J Med Chem 1995,38(13),2378-94
合成路线图解说明:

The reaction of 4-aminobenzamidine dihydrochloride (I) with succinic anhydride and pyridine in hot DMF gives the succinyl derivative (II), which is activated with isobutyl chloroformate and N-methylmorpholine (NMM) and then coupled to 3(S)-amino-4-pentynoic acid ethyl ester (III) in DMF or DMAc.

合成路线图解说明:

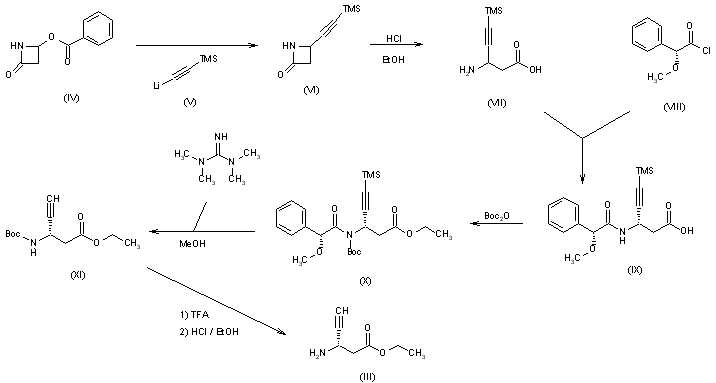
The ethyl ester (III), a chiral key intermediate of this synthesis, can be obtained as follows: 1) The reaction of 4-(benzoyloxy)-2-azetidinone (IV) with 2 equivalents of 1-lithio-2-(trimethylsilyl)acetylene (V) gives azetidinone (VI), which is opened with anhydrous HCl in ethanol, yielding racemic 3-amino-5-(trimethylsilyl)-4-pentynoic acid ethyl ester (VII). Resolution of (VII) by means of diastereomeric amide formation with (R)-O-methyl mandelic acid chloride (VIII) and chromatographic separation of the diastereoisomers (MPLC, ether/hexane) affords the amide (IX), which is then N-protected with Boc2O in acetonitrile to give (X). Treatment of (X) with tetramethylguanidine in methanol gives methyl ester (XI), which is finally treated first with TFA and then with HCl in ethanol to afford ethyl ester (III).

参考文献No.408605
标题:Xemilofiban
作者:Graul, A.; Martel, A.M.; Casta馿r, J.
来源:Drugs Fut 1997,22(5),508
合成路线图解说明:

The reaction of 4-aminobenzamidine dihydrochloride (I) with succinic anhydride and pyridine in hot DMF gives the succinyl derivative (II), which is activated with isobutyl chloroformate and N-methylmorpholine (NMM) and then coupled to 3(S)-amino-4-pentynoic acid ethyl ester (III) in DMF or DMAc.

合成路线图解说明:

The ethyl ester (III), a chiral key intermediate of this synthesis, can be obtained as follows: 1) The reaction of 4-(benzoyloxy)-2-azetidinone (IV) with 2 equivalents of 1-lithio-2-(trimethylsilyl)acetylene (V) gives azetidinone (VI), which is opened with anhydrous HCl in ethanol, yielding racemic 3-amino-5-(trimethylsilyl)-4-pentynoic acid ethyl ester (VII). Resolution of (VII) by means of diastereomeric amide formation with (R)-O-methyl mandelic acid chloride (VIII) and chromatographic separation of the diastereoisomers (MPLC, ether/hexane) affords the amide (IX), which is then N-protected with Boc2O in acetonitrile to give (X). Treatment of (X) with tetramethylguanidine in methanol gives methyl ester (XI), which is finally treated first with TFA and then with HCl in ethanol to afford ethyl ester (III).

合成路线图解说明:

The ethyl ester (III), a chiral key intermediate of this synthesis, can be obtained as follows: 2) The treatment of (trimethylsilyl)acetylene (XII) with butyllithium and NMM in methyl tert-butyl ether (MTBE), followed by hydrolysis with aqueous HCl, gives 3-(trimethylsilyl)-2-propynal (XIII). Treatment of (XIII) with lithium bis(trimethylsilyl)amide (LiHMDS) and trimethylsilyl chloride at -20 C gives the imine (XIV), which is reacted in situ with lithium tert-butyl acetate followed by hydrolysis with aqueous NH4Cl to afford racemic tert-butyl ester (XV). Treatment of (XV) with refluxing ethanol in the presence of p-toluenesulfonic acid gives the corresponding ethyl ester (VII) (already obtained in the preceding scheme). Desilylation of (VII) with NaOEt/EtOH affords racemic 3-amino-4-pentynoic acid ethyl ester in situ, which is then resolved using R-(-)-mandelic acid in ethyl acetate/MTBE to give mandelic acid salt (XVI). Recrystallization of (XVI) from acetonitrile/MTBE and treatment with gaseous HCl in MTBE affords ethyl ester (III) as the hydrochloride.

参考文献No.419772
标题:A very short, efficient and inexpensive synthesis of the prodrug form of SC-54701A a platelet aggregation inhibitor
作者:Cossy, J.; Schmitt, A.; Cinquin, C.; Buisson, D.; Belotti, D.
来源:Bioorg Med Chem Lett 1997,7(13),1699
合成路线图解说明:

A short and efficient synthesis of xemilofiban has been achieved as follows: The reaction of ethyl chloroformate (I) with trimethylsilylacetylene (II) by means of butyllithium gives ethyl 3-(trimethylsilyl)propyonate (III), which is condensed with the lithium salt of ethyl acetate (IV) yielding ethyl 5-(trimethylsilyl)-3-oxo-4-pentynoate (V). The selective reduction of (V) with lyophilized baker's yeast (Saccharomyces cerevisiae, Sigma type II) affords ethyl 3(R)-hydroxy-5-(trimethylsilyl)-4-pentynoate (VI), which by reaction with ammonia (VII), diethyl azodicarboxylate (VIII) and triphenylphosphine, followed by hydrolysis with water gives 3(S)-amino-5-(trimethylsilyl)-4-pentynoate (IX). Finally, this compound is condensed with N-(4-amidinophenyl)succinamic acid (XI) by means of isobutyl chloroformate and N-methylmorpholine (NMM). The intermediate succinamic acid (XI) has been obtained by condensation of 4-aminobenzamidine (XII) with succinic anhydride (XIII) in DMF.

Drug Information Express,Drug R&D,Chemical Database,Patent Search.
Copyright © 2006-2026 Drug Future. All rights reserved.Contact Us