【药物名称】DX-9065a
化学结构式(Chemical Structure):
参考文献No.255039
标题:Dibasic (amidinoaryl)propanoic acid derivatives as novel blood coagulation factor Xa inhibitors
作者:Nagahara, T.; Yokoyama, Y.; Inamura, K.; Katakura, S.; Komoriya, S.; Yamaguchi, H.; Hara, T.; Iwamoto, M.
来源:J Med Chem 1994,37(8),1200-7
合成路线图解说明:

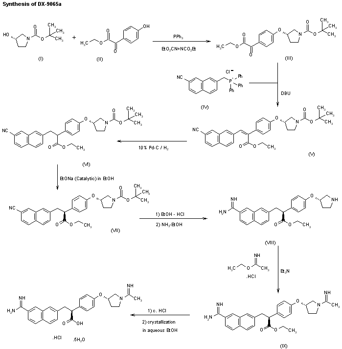
Condensation of the (3R)-3-pyrrolidinol (I) and the phenylglyoxylate (II) using a procedure described by Bittner gave the (3S)-alpha-keto-ester (III). Wittig reaction of the (3S)-alpha-keto-ester (III) and the phosphonium salts (IV) using 1,8-diazabicyclo[5.4.0]undec-7-ene (DBU) as a base, followed by catalytic hydrogenation gave the ethyl propanoate derivatives (VI) as an equivalent mixture of two diastereoisomers. The mixture (VI) gave the pure (2S,3'S)-isomer (VII) by means of crystallization in ethanol. Pinner synthesis was applied for the single isomer (VII) to give the amidine (VIII). Treatment of the amidine (VIII) with ethyl acetimidate hydrochloride yielded the N-acetimidoyl derivative (IX). Conversion of (IX) to the final product, DX-9065a, was accomplished by acidic hydrolysis followed by crystallization. The absolute configuration of DX-9065a was assigned as (2S,3'S) based on X-ray crystallographic analysis and the (3'S) configuration of the 3 position on the pyrrolidine ring.

参考文献No.300739
标题:DX-9065a
作者:Hara, T.; Yamazaki, K.; Nagahara, T.; Kunitada, S.; Katakura, S.; Inamura, K.; Iwamoto, M.; Komoriya, S.; Yokoyama, Y.
来源:Drugs Fut 1995,20(6),564
合成路线图解说明:

Condensation of the (3R)-3-pyrrolidinol (I) and the phenylglyoxylate (II) using a procedure described by Bittner gave the (3S)-alpha-keto-ester (III). Wittig reaction of the (3S)-alpha-keto-ester (III) and the phosphonium salts (IV) using 1,8-diazabicyclo[5.4.0]undec-7-ene (DBU) as a base, followed by catalytic hydrogenation gave the ethyl propanoate derivatives (VI) as an equivalent mixture of two diastereoisomers. The mixture (VI) gave the pure (2S,3'S)-isomer (VII) by means of crystallization in ethanol. Pinner synthesis was applied for the single isomer (VII) to give the amidine (VIII). Treatment of the amidine (VIII) with ethyl acetimidate hydrochloride yielded the N-acetimidoyl derivative (IX). Conversion of (IX) to the final product, DX-9065a, was accomplished by acidic hydrolysis followed by crystallization. The absolute configuration of DX-9065a was assigned as (2S,3'S) based on X-ray crystallographic analysis and the (3'S) configuration of the 3 position on the pyrrolidine ring.

参考文献No.466739
标题:Practical laboratory-scale synthesis of the factor Xa inhibitor DX-9065a
作者:Bauman, J.G.; Xu, W.; May, K.B.; Guilford, W.J.; Morgan, T.K. Jr.; Wu, S.C.; Yan, S.-X.; Morrissey, M.M.
来源:215th ACS Natl Meet (March 29 1998, Dallas) 1998,Abst MEDI 131
合成路线图解说明:

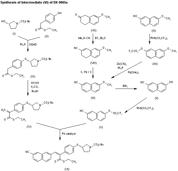
Synthesis of intermediate (V) of DX-9065a: Compound (V) has been obtained as follows: The reaction of 7-methoxy-1,2,3,4-tetrahydronaphthalen-2-one (VII) with trimethylsilyl cyanide using BF3 ethearate as catalyst gives 7-methoxy-3,4-dihydronaphthalene-2-carbonitrile (VIII), which is aromatized with sulfur and Pd/C to naphthalene (IX). The demethylation of (IX) with BBr3 in dichloromethane affords 7-hydroxynaphthalene-2-carbonitrile (X), which is finally converted into the triflate (V) with PhN(SO2CF3)2 as triflating agent. Alternatively, the triflation of 7-methoxy-2-naphthol (XI) as before gives the triflate (XII), which is converted into the previously obtained carbonitrile (IX) by reaction with Zn(CN)2 catalyzed by triphenylphosphine and palladium acetate in hot 1-methyl-2-pyrrolidone.

参考文献No.476221
标题:Synthesis of specific factor Xa inhibitor, DX-9065a
作者:Yokoyama, Y.
来源:Symp Med Chem 1998,Abst L-15
合成路线图解说明:

A new synthesis of 2-[4-[1-(tert-butoxycarbonyl)pyrrolidin-3(S)-yloxy)phenyl]-3-(7-cyano-2-naphthyl)-2-propenoic acid ethyl ester (VI), a key intermediate in the synthesis of DX-9065a has been described: The condensation of 3(R)-hydroxypyrrolidine-1-carboxylic acid tert-butyl ester (I) with 4-hydroxyphenylacetic acid ethyl ester (II) by means of triphenylphosphine and diethyl azodicarboxylate (DEAD) in THF gives 4-[1-(tert-butoxycarbonyl)pyrrolidin-3(R)-yloxy]phenylacetic acid ethyl ester (III), which is treated with formaldehyde, K2CO3 and tetrabutylammonium iodide in hot toluene yielding 2-[4-[1-(tert-butoxycarbonyl)pyrrolidin-3(R)-yloxy]phenyl]-2-propenoic acid ethyl ester (IV). Finally, this compound is condensed with 7-(trifluoromethylsulfonyloxy)naphthalene-2-carbonitrile (V) by means a Pd catalyst in hot DMF to afford the target compound (VI).

参考文献No.539932
标题:A short synthesis of the factor-Xa inhibitor DX-9065 a using palladium-catalyzed key steps
作者:Engh, R.A.; Neidlein, R.; Bradstetter, H.; Strein, K.; Koczmierz, R.; Marzenell, K.; Leibert, H.; von der Saal, W.; Kehr, R.
来源:Helv Chim Acta 1997,80892
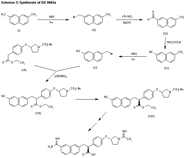
合成路线图解说明:

The bromination of 2,7-dimethylnaphthalene (I) with N-bromosuccinimide (NBS) and UV light in CCl4 gives the monobromo derivative (II), which is treated with 2-nitropropane/NaOMe to yield 7-methylnaphthalene-2-carbaldehyde (III). The reaction of (III) with hydroxylamine-O-sulfonic acid affords the nitrile (IV), which is brominated with NBS as before to give 7-(bromomethyl)naphthalene-2-carbonitrile (V). The condensation of (V) with 2-[4-[1-(tert-butoxycarbonyl)pyrrolidin-3(S)-yloxy]phenyl]acetic acid ethyl ester (VI) by means of lithium bis(trimethylsilyl)amide yields 2-[4-[1-(tert-butoxycarbonyl)pyrrolidin-3(S)-yloxy]phenyl]-3-(7-cyano-2-naphthyl)propionic acid ethyl ester (VII) as a diastereomeric mixture. This mixture was worked up as already described to obtain the target compound DX-9065a.

Drug Information Express,Drug R&D,Chemical Database,Patent Search.
Copyright © 2006-2026 Drug Future. All rights reserved.Contact Us