【药物名称】YM-31472
化学结构式(Chemical Structure):
参考文献No.485962
标题:Studies on nonpeptide angiotensin II receptor antagonists. IV. Synthesis and biological evaluation of 4-acrylamide-1H-imidazole derivatives
作者:Okazaki, T.; Watanabe, T.; Kikuchi, K.; Suga, A.; Shibasaki, M.; Fujimori, A.; Inagaki, O.; Yanagisawa, I.
来源:Chem Pharm Bull 1998,46(6),973
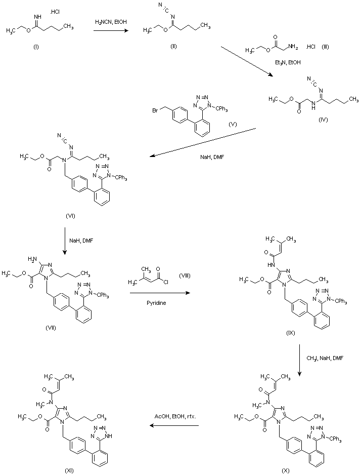
合成路线图解说明:

The reaction of ethyl valerimidate hydrochloride (I) with cyanamide in ethanol yielded cyanoimidate (II), which was converted into the cyanoimidoylglycine (IV) on treatment with glycine ethyl ester (III) and triethylamine. Alkylation of (IV) with the biphenyl derivative (V) in the presence of 1 mole of NaH in DMF gave the intermediate cyanoamidine (VI), which, by further addition of half an equivalent of sodium hydride was cyclized to the imidazole (VII). Acylation of (VII) with 3,3-dimethylacryloyl chloride (VIII) in cold pyridine yielded amide (IX), and then N-alkylation with iodomethane and sodium hydride in DMF provided (X). Acidic treatment with acetic acid in refluxing ethanol removed the trityl group to give (XI).

合成路线图解说明:

The alkaline hydrolysis of the ester group of (XI) yielded acid (XII). Tetrazole ring was then protected by alkylation with trityl chloride to the trityl derivative (XIII), which was then converted to the potassium salt (XIV) with ethanolic KOH. Alkylation of the potassium salt with 1-iodoethyl ethyl carbonate (XV) in acetone provided the acetaldehyde acylal (XVI), and final deprotection of trityl group with ethanolic acetic acid furnished the target compound (1).

Drug Information Express,Drug R&D,Chemical Database,Patent Search.
Copyright © 2006-2026 Drug Future. All rights reserved.Contact Us